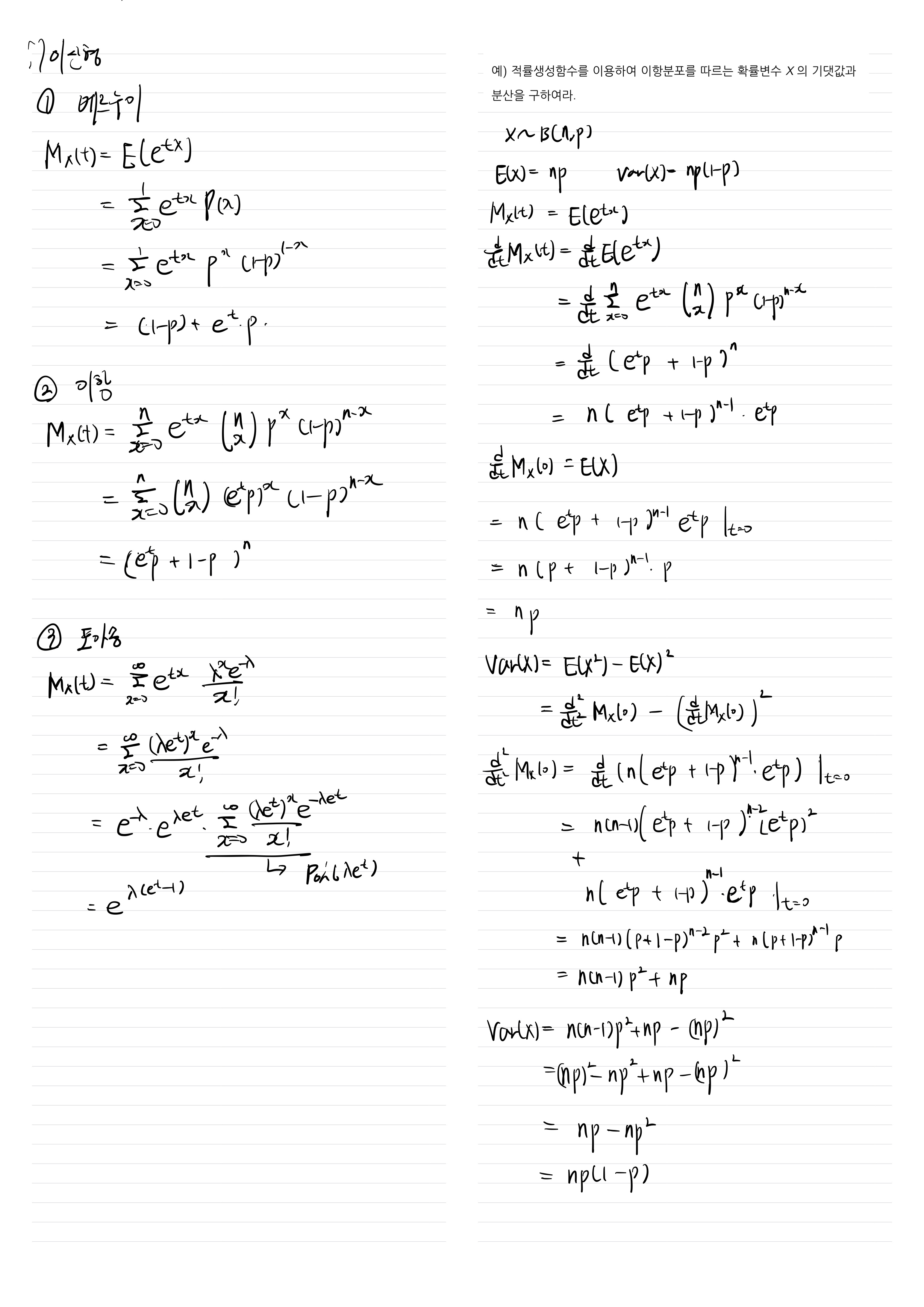
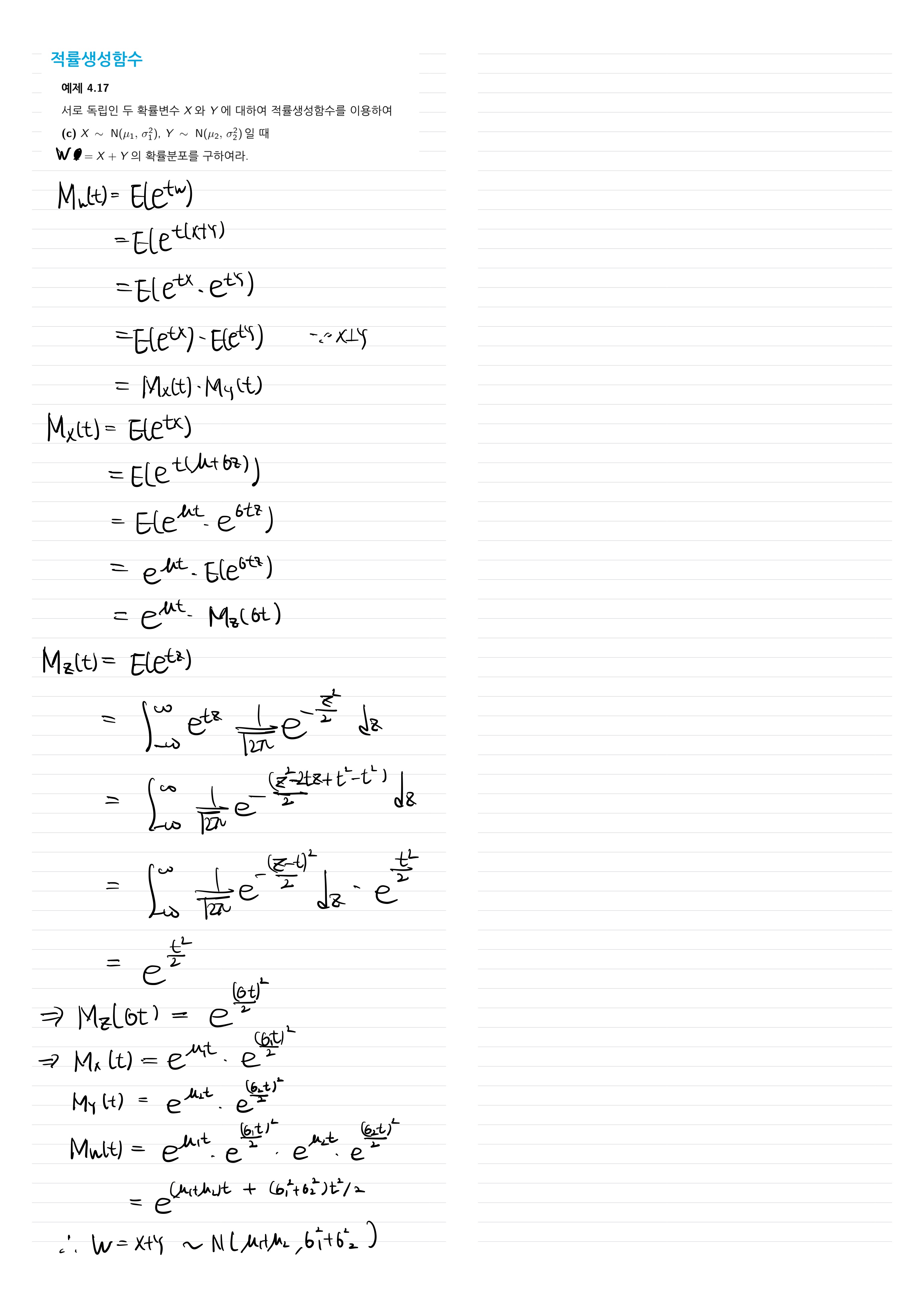
11. 랜덤합과 적률생성함수 본문






'Fundamental > Mathematical Stat' 카테고리의 다른 글
| 13. 순서통계량 (0) | 2022.08.13 |
|---|---|
| 12. 랜덤샘플 (0) | 2022.08.10 |
| 10. 공분산과 상관계수 (0) | 2022.08.06 |
| 9. 조건부 분포의 기댓값과 분산 (0) | 2022.08.06 |
| 8. 분산과 표준편차 (0) | 2022.08.05 |
Comments






| 13. 순서통계량 (0) | 2022.08.13 |
|---|---|
| 12. 랜덤샘플 (0) | 2022.08.10 |
| 10. 공분산과 상관계수 (0) | 2022.08.06 |
| 9. 조건부 분포의 기댓값과 분산 (0) | 2022.08.06 |
| 8. 분산과 표준편차 (0) | 2022.08.05 |