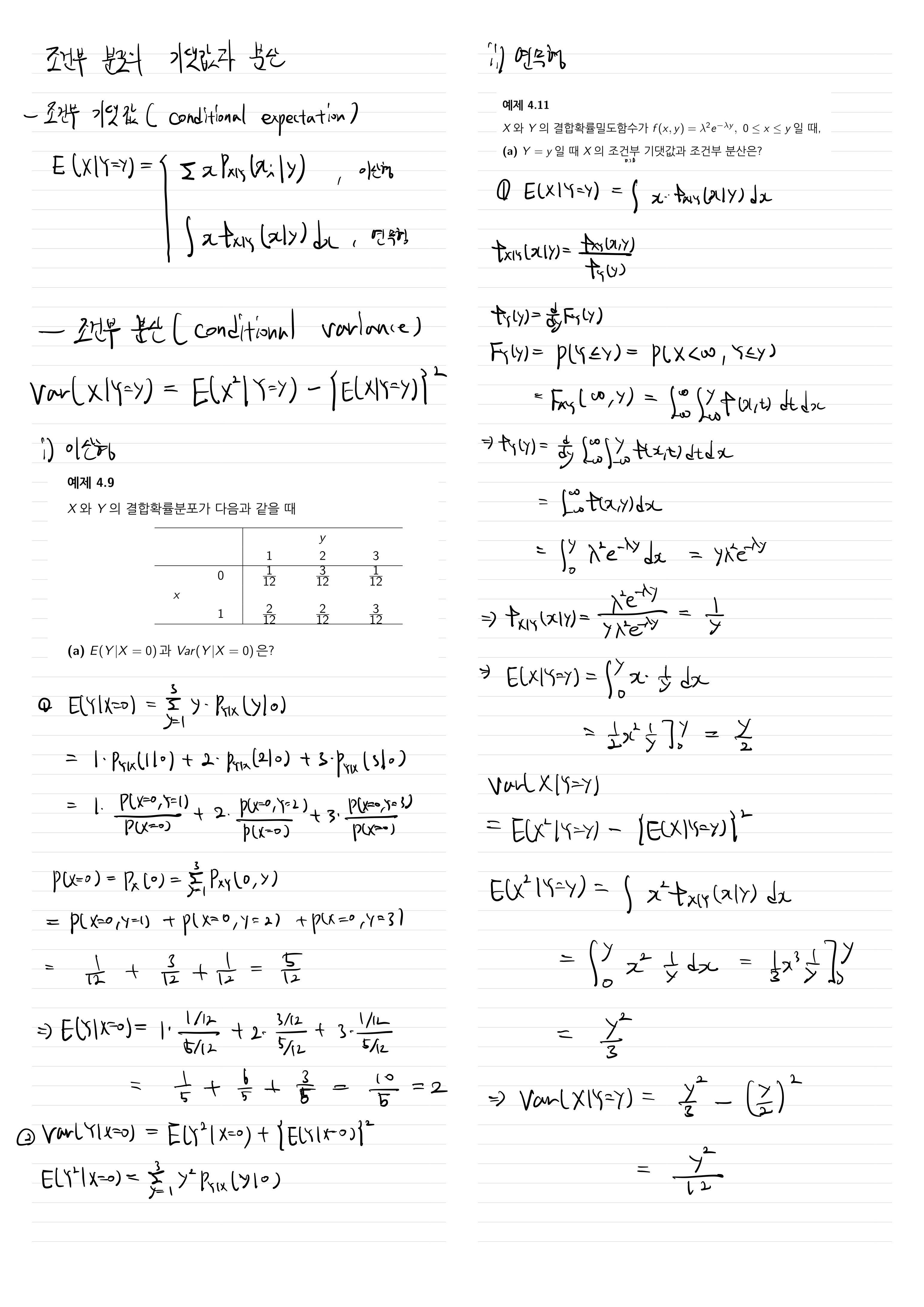
9. 조건부 분포의 기댓값과 분산 본문



'Fundamental > Mathematical Stat' 카테고리의 다른 글
| 11. 랜덤합과 적률생성함수 (0) | 2022.08.09 |
|---|---|
| 10. 공분산과 상관계수 (0) | 2022.08.06 |
| 8. 분산과 표준편차 (0) | 2022.08.05 |
| 7. 기댓값 (0) | 2022.08.04 |
| 6. 합의 분포와 곱의 분포 (0) | 2022.08.02 |
Comments



| 11. 랜덤합과 적률생성함수 (0) | 2022.08.09 |
|---|---|
| 10. 공분산과 상관계수 (0) | 2022.08.06 |
| 8. 분산과 표준편차 (0) | 2022.08.05 |
| 7. 기댓값 (0) | 2022.08.04 |
| 6. 합의 분포와 곱의 분포 (0) | 2022.08.02 |