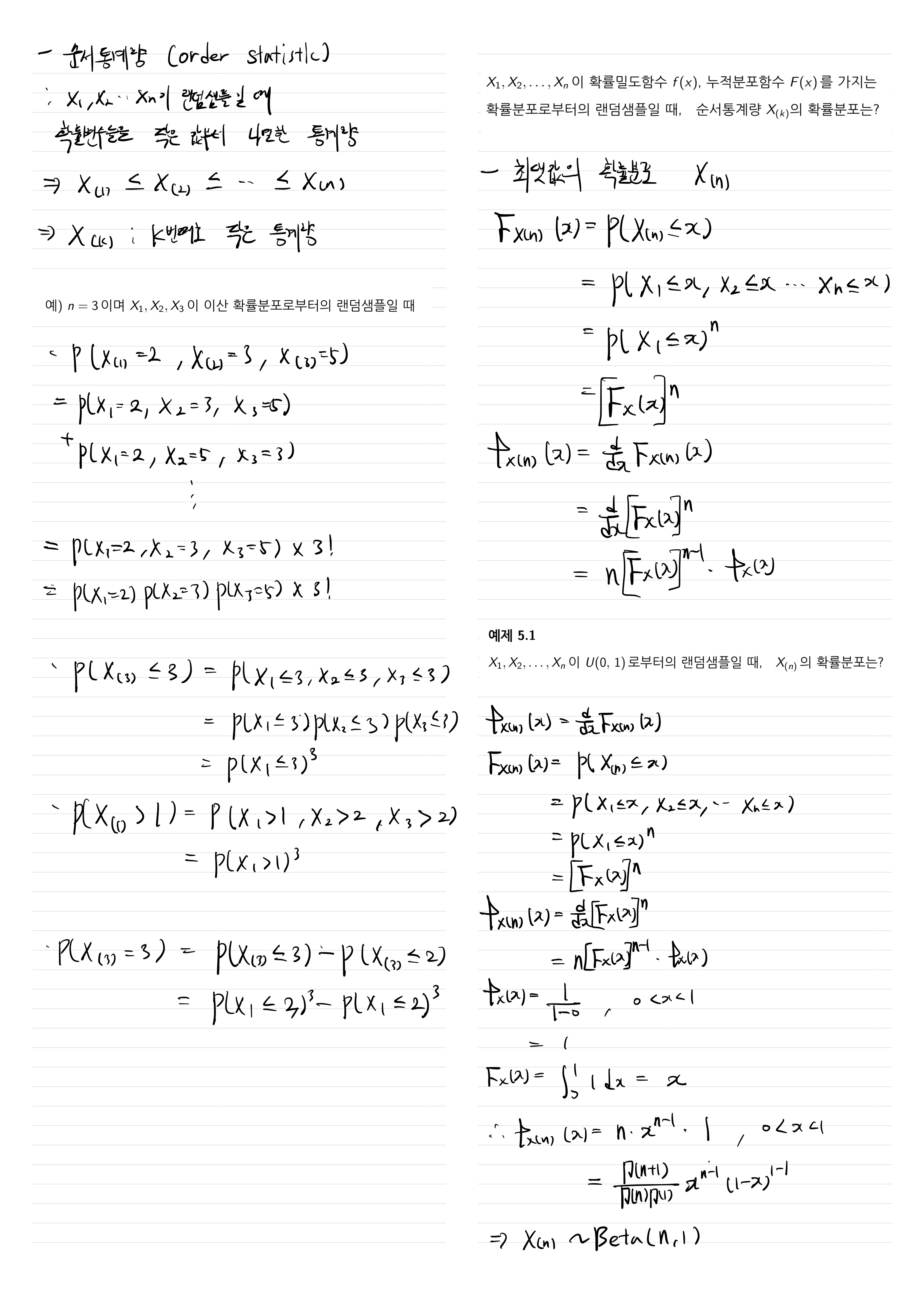
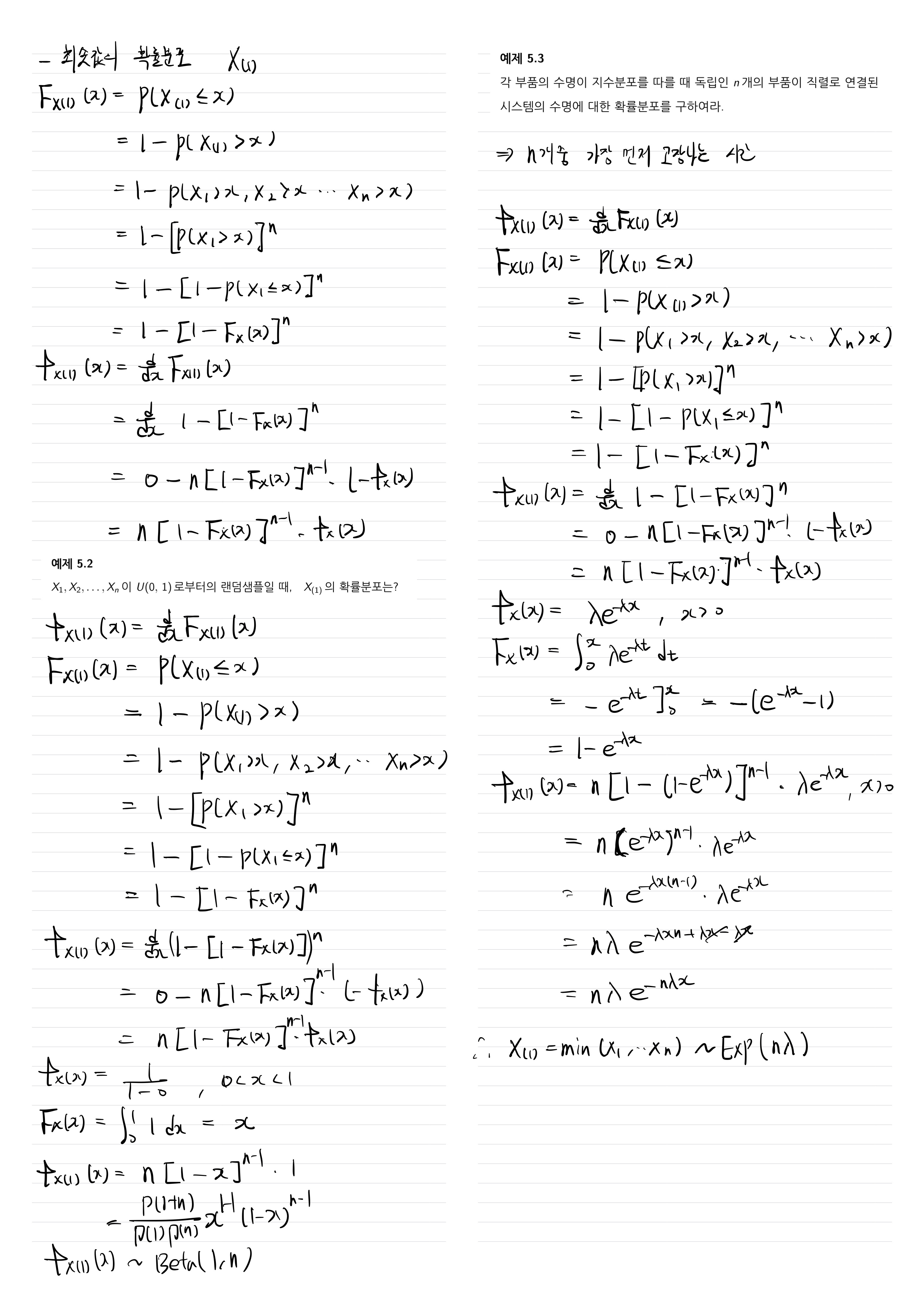
13. 순서통계량 본문






'Fundamental > Mathematical Stat' 카테고리의 다른 글
| Chapter 7 - 1 : Point Estimation - Methods of Finding Estimators (0) | 2023.01.24 |
|---|---|
| 정리 (0) | 2022.08.15 |
| 12. 랜덤샘플 (0) | 2022.08.10 |
| 11. 랜덤합과 적률생성함수 (0) | 2022.08.09 |
| 10. 공분산과 상관계수 (0) | 2022.08.06 |
Comments