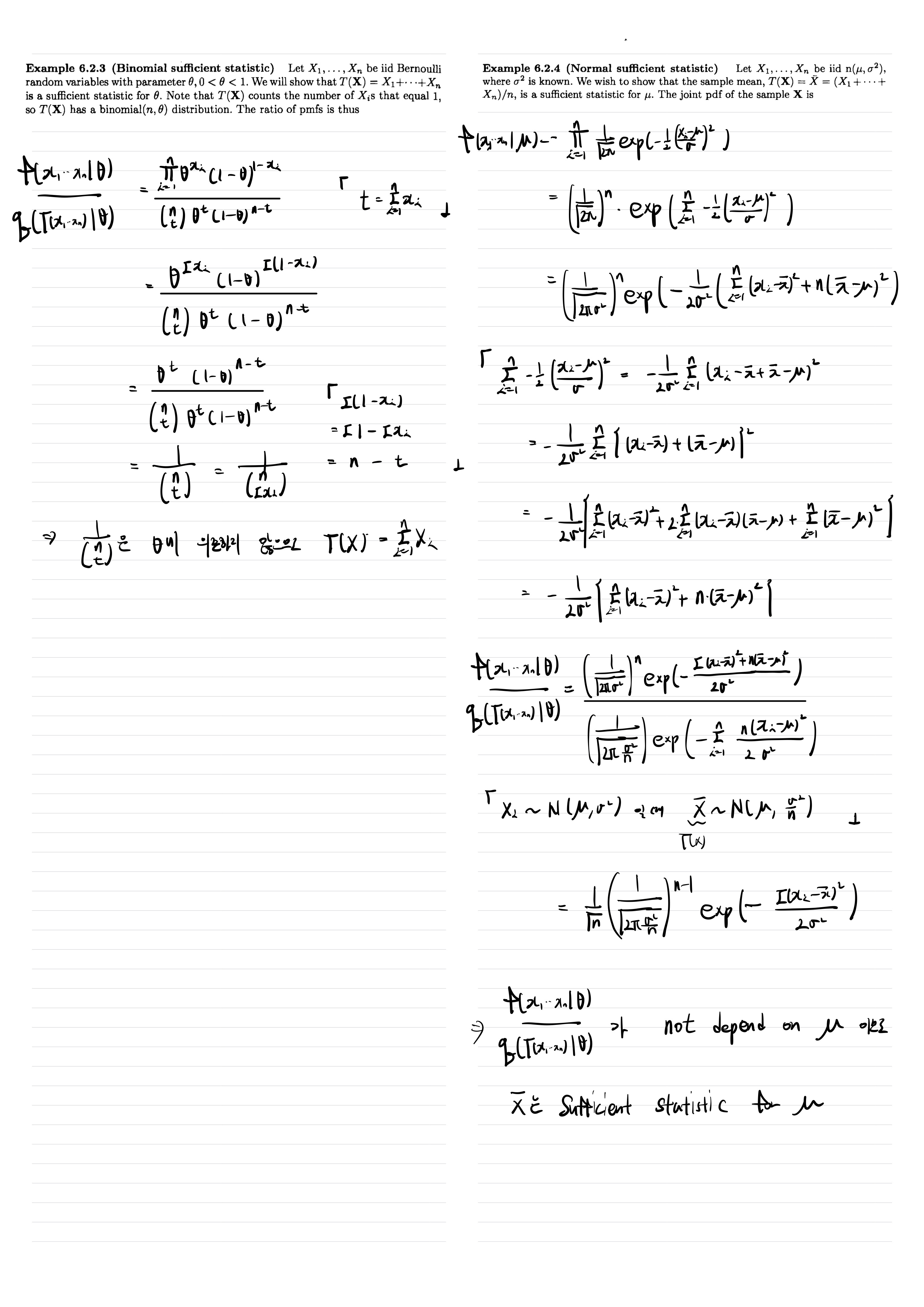
Chapter 6 - Principle of Data Reduction(Sufficiency, Likelihood, Equivariance) 본문
Fundamental/Mathematical Stat
Chapter 6 - Principle of Data Reduction(Sufficiency, Likelihood, Equivariance)
TaeTrix 2023. 2. 22. 01:26














'Fundamental > Mathematical Stat' 카테고리의 다른 글
Comments