Chapter 7 - 2 : Point Estimation - Methods of Evaluating Estimators 본문
Fundamental/Mathematical Stat
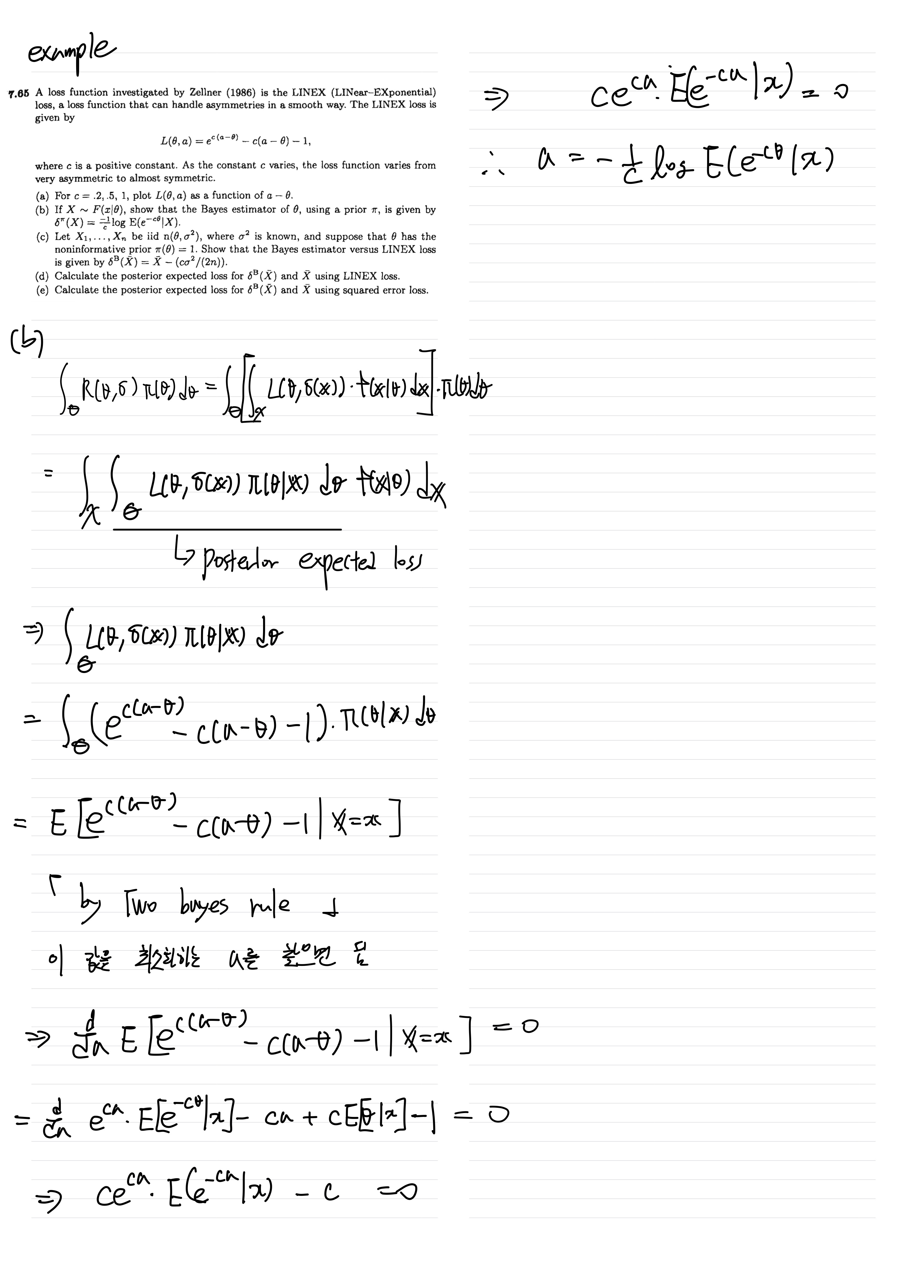
Chapter 7 - 2 : Point Estimation - Methods of Evaluating Estimators
TaeTrix 2023. 2. 1. 17:44'Fundamental > Mathematical Stat' 카테고리의 다른 글
| Chapter 8 - 2 Hypothesis Testing - Methods Of Evaluating Tests (0) | 2023.02.18 |
|---|---|
| Chapter 8 - 1 Hypothesis Testing - Methods Of Finding Test (0) | 2023.02.05 |
| Chapter 7 - 1 : Point Estimation - Methods of Finding Estimators (0) | 2023.01.24 |
| 정리 (0) | 2022.08.15 |
| 13. 순서통계량 (0) | 2022.08.13 |
Comments












