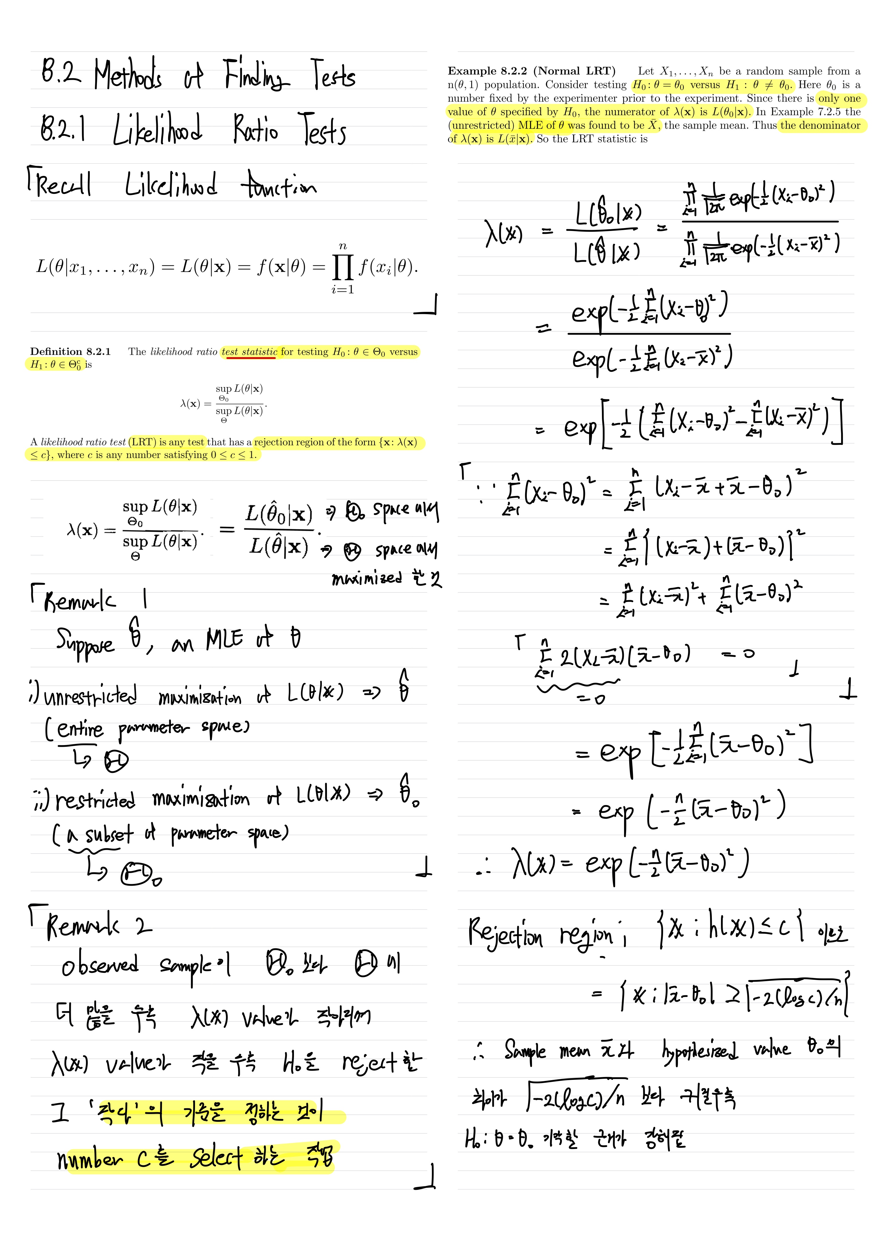
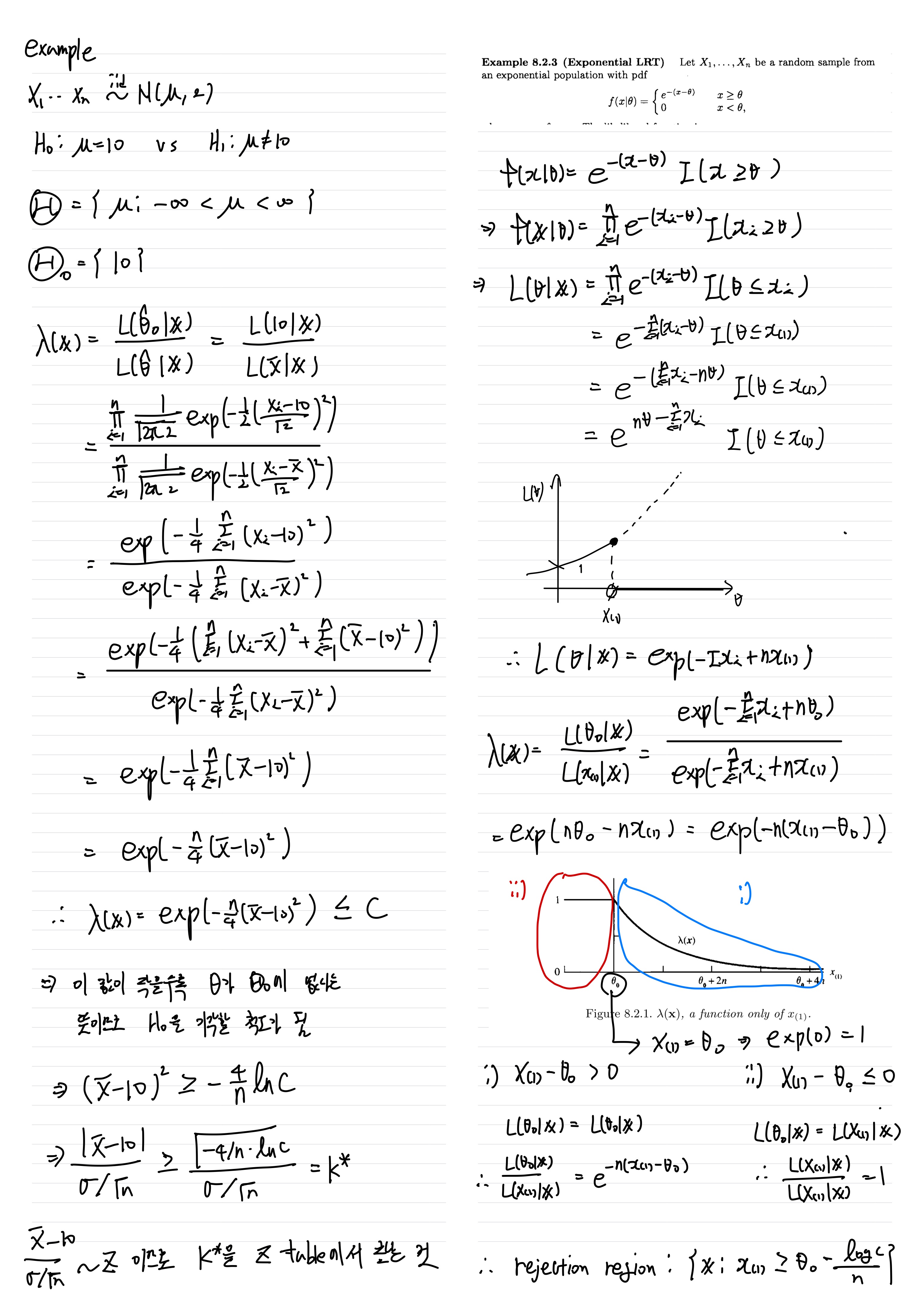
Chapter 8 - 1 Hypothesis Testing - Methods Of Finding Test 본문
Fundamental/Mathematical Stat
Chapter 8 - 1 Hypothesis Testing - Methods Of Finding Test
TaeTrix 2023. 2. 5. 02:02
1차 update(2023.03.01)








Likelihood Ratio Tests
https://online.stat.psu.edu/stat415/book/export/html/847
Lesson 27: Likelihood Ratio Tests
The title of this page is a little risky, as there are few simple examples when it comes to likelihood ratio testing! But, we'll work to make the example as simple as possible, namely by assuming again, unrealistically, that we know the population variance
online.stat.psu.edu
LRT and sufficiency
http://www.math.louisville.edu/~rsgill01/667/Lecture%2013.pdf
글
https://www.dongascience.com/news.php?idx=14553
통계적 가설 검정과 입증의 책임
김재광 한국과학기술원 수리과학부(통계학 전공) 교수예를 들어 가위ㆍ바위ㆍ보 게임을 생각해 보기로 합시다.보통의 평범한 사람들은 이 가위ㆍ바위ㆍ보 게임에서 이길 확률이 50%, 질 확률이
www.dongascience.com
'Fundamental > Mathematical Stat' 카테고리의 다른 글
| Chapter 9 - 1,2 ) Interval Estimation - Methods of Finding and Methods of Evaluating (0) | 2023.02.20 |
|---|---|
| Chapter 8 - 2 Hypothesis Testing - Methods Of Evaluating Tests (0) | 2023.02.18 |
| Chapter 7 - 2 : Point Estimation - Methods of Evaluating Estimators (0) | 2023.02.01 |
| Chapter 7 - 1 : Point Estimation - Methods of Finding Estimators (0) | 2023.01.24 |
| 정리 (0) | 2022.08.15 |
Comments