Transformation - linear of model, stabilizing variance 본문
Fundamental/Linear Regression
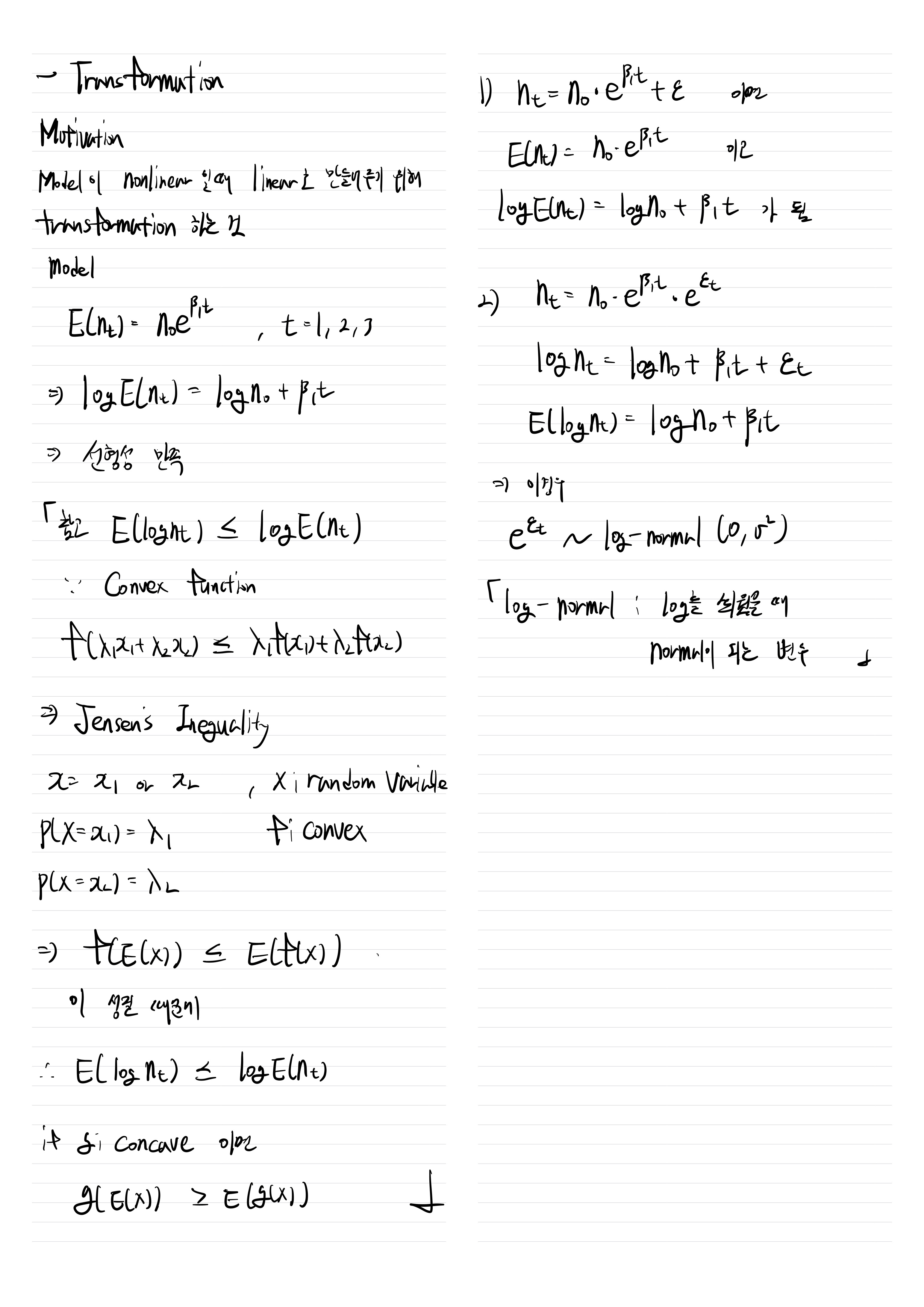
Transformation - linear of model, stabilizing variance
TaeTrix 2022. 11. 21. 03:36

'Fundamental > Linear Regression' 카테고리의 다른 글
| Correlated Errors (0) | 2022.11.21 |
|---|---|
| Weighted Least Squares(WLS) (0) | 2022.11.21 |
| Qualitative(categorical) Variable (0) | 2022.11.20 |
| Diagnostics - Outlier (0) | 2022.11.20 |
| Diagnostics - Internally/Externally Studentized Residuals and Influence Of Observation (0) | 2022.11.19 |
Comments