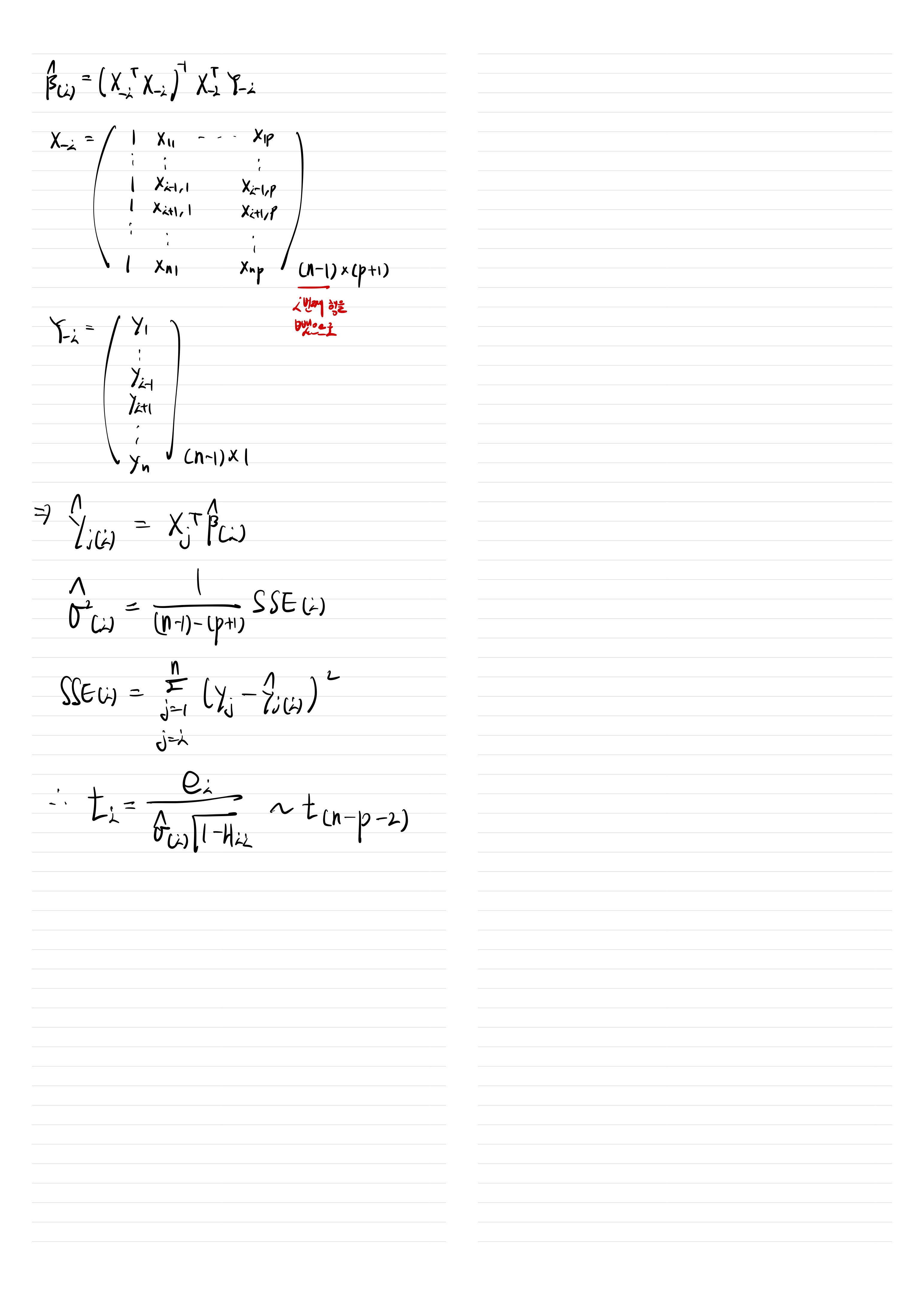
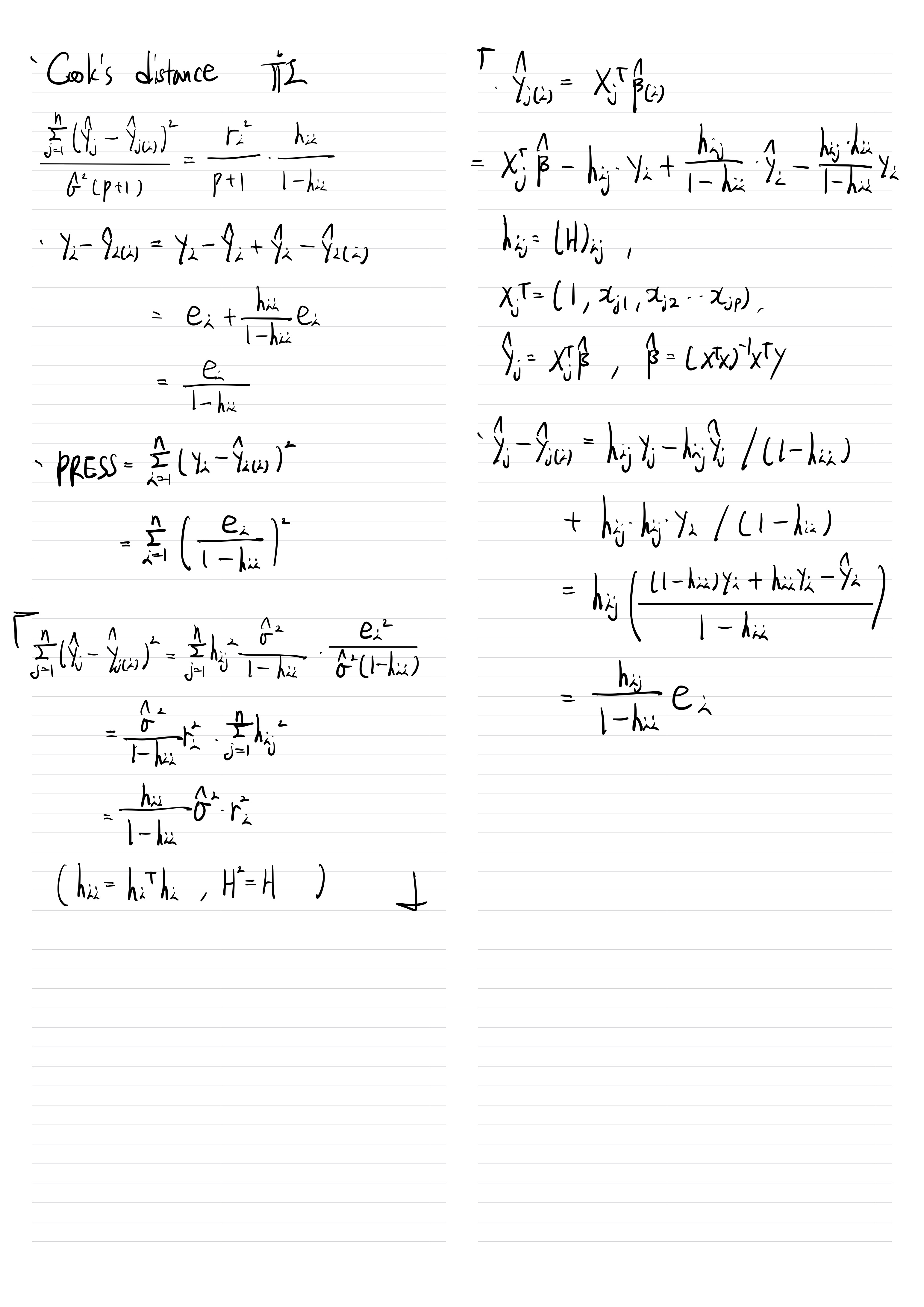
Diagnostics - Internally/Externally Studentized Residuals and Influence Of Observation 본문
Fundamental/Linear Regression
Diagnostics - Internally/Externally Studentized Residuals and Influence Of Observation
TaeTrix 2022. 11. 19. 18:52




'Fundamental > Linear Regression' 카테고리의 다른 글
| Qualitative(categorical) Variable (0) | 2022.11.20 |
|---|---|
| Diagnostics - Outlier (0) | 2022.11.20 |
| Dropping one or more variables and General linear hypotheis (0) | 2022.10.31 |
| σ hat Induction and Bonferroni correction (0) | 2022.10.30 |
| Multiple linear regression (0) | 2022.10.06 |
Comments