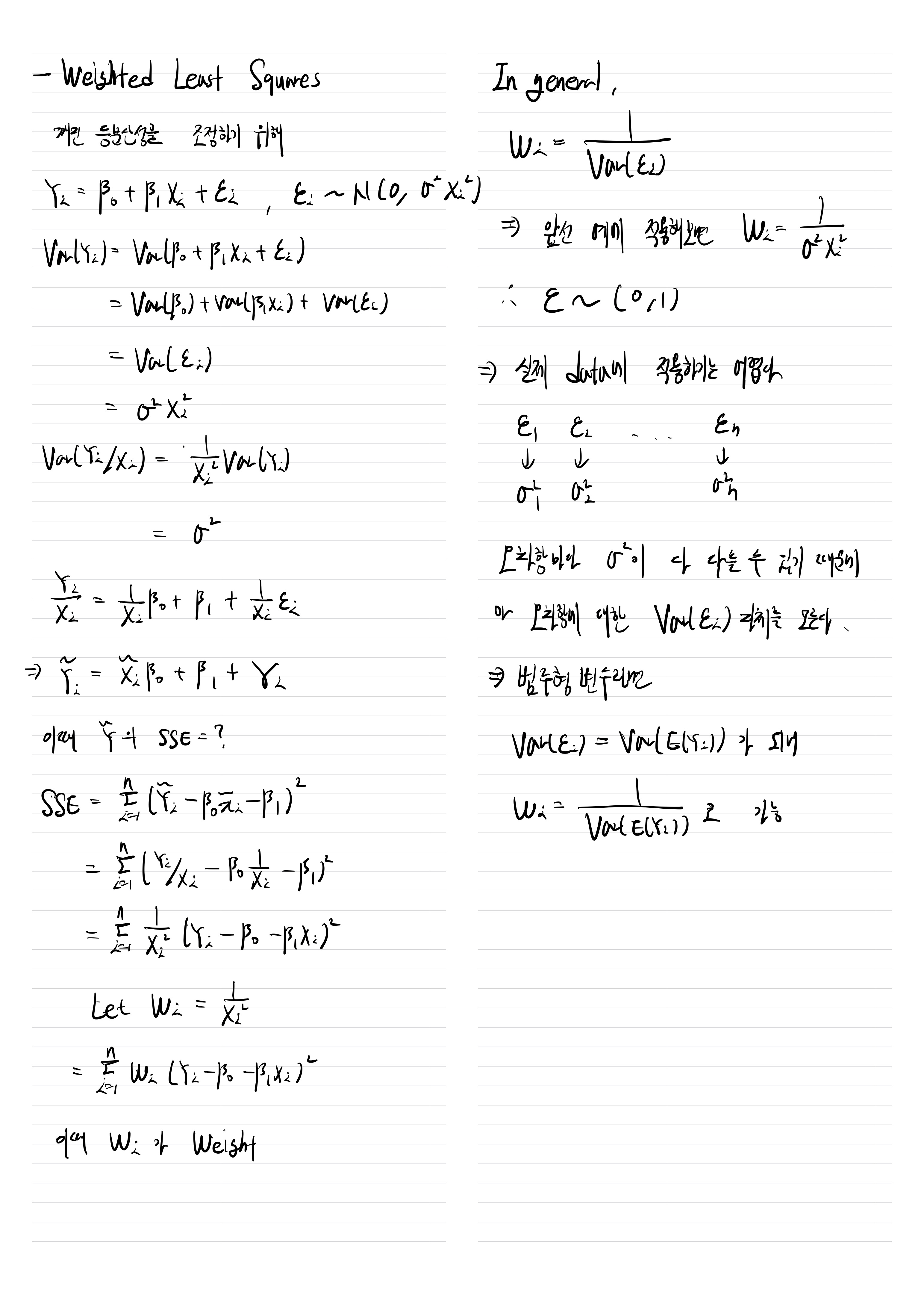
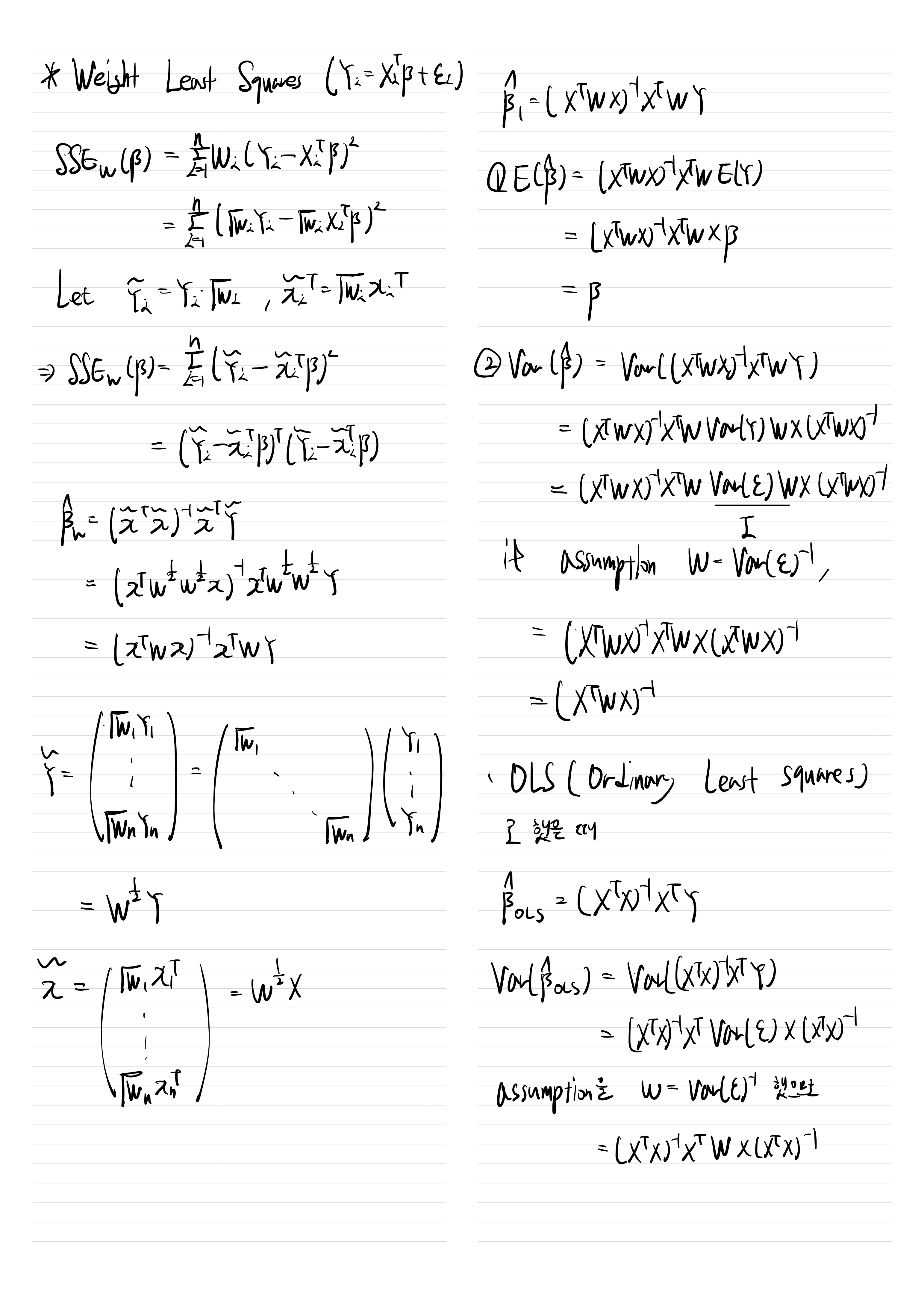
Weighted Least Squares(WLS) 본문




'Fundamental > Linear Regression' 카테고리의 다른 글
| Regression model with autocorrelation errors(AR(1)) and Two stage regression (0) | 2022.11.23 |
|---|---|
| Correlated Errors (0) | 2022.11.21 |
| Transformation - linear of model, stabilizing variance (0) | 2022.11.21 |
| Qualitative(categorical) Variable (0) | 2022.11.20 |
| Diagnostics - Outlier (0) | 2022.11.20 |
Comments