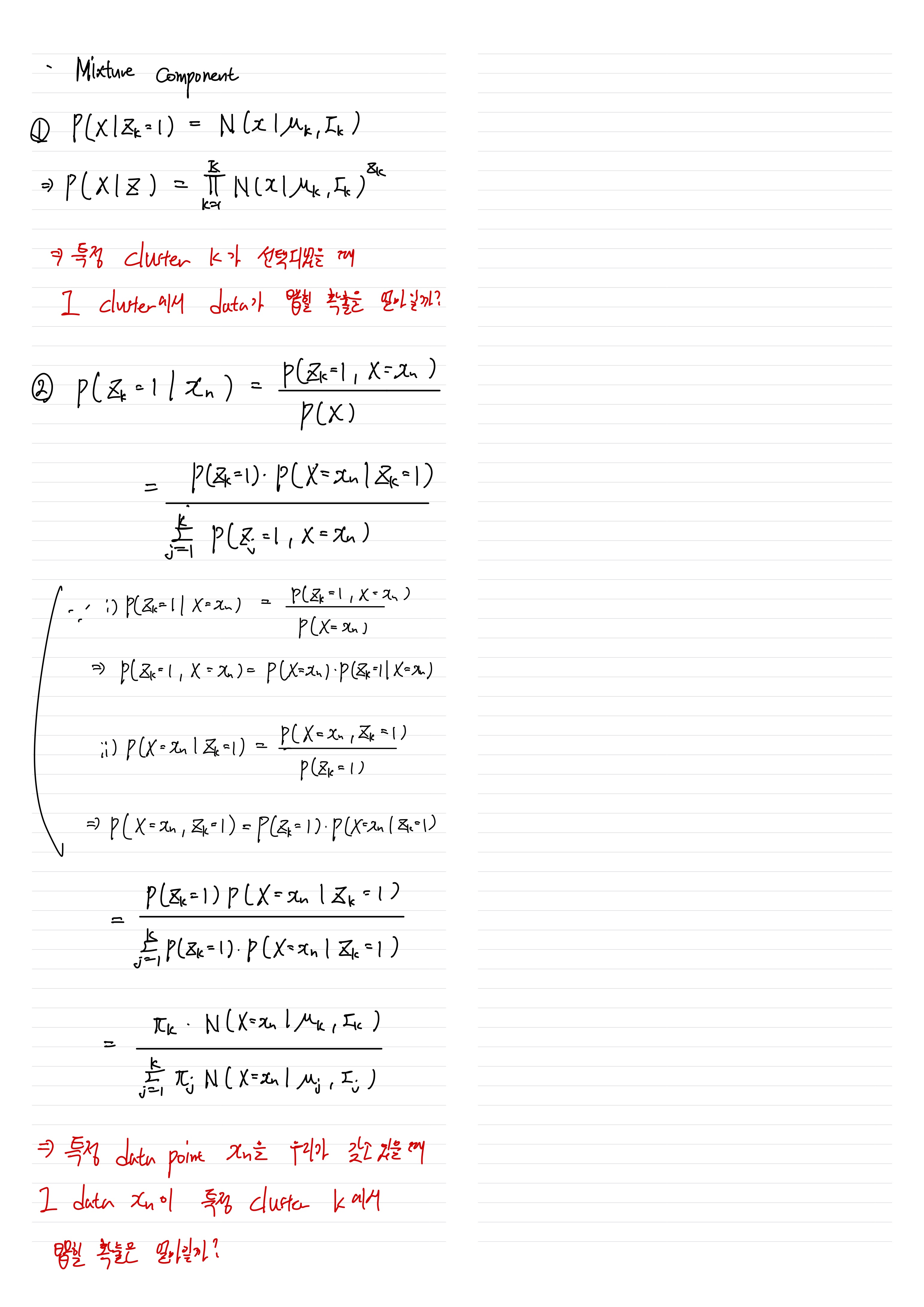
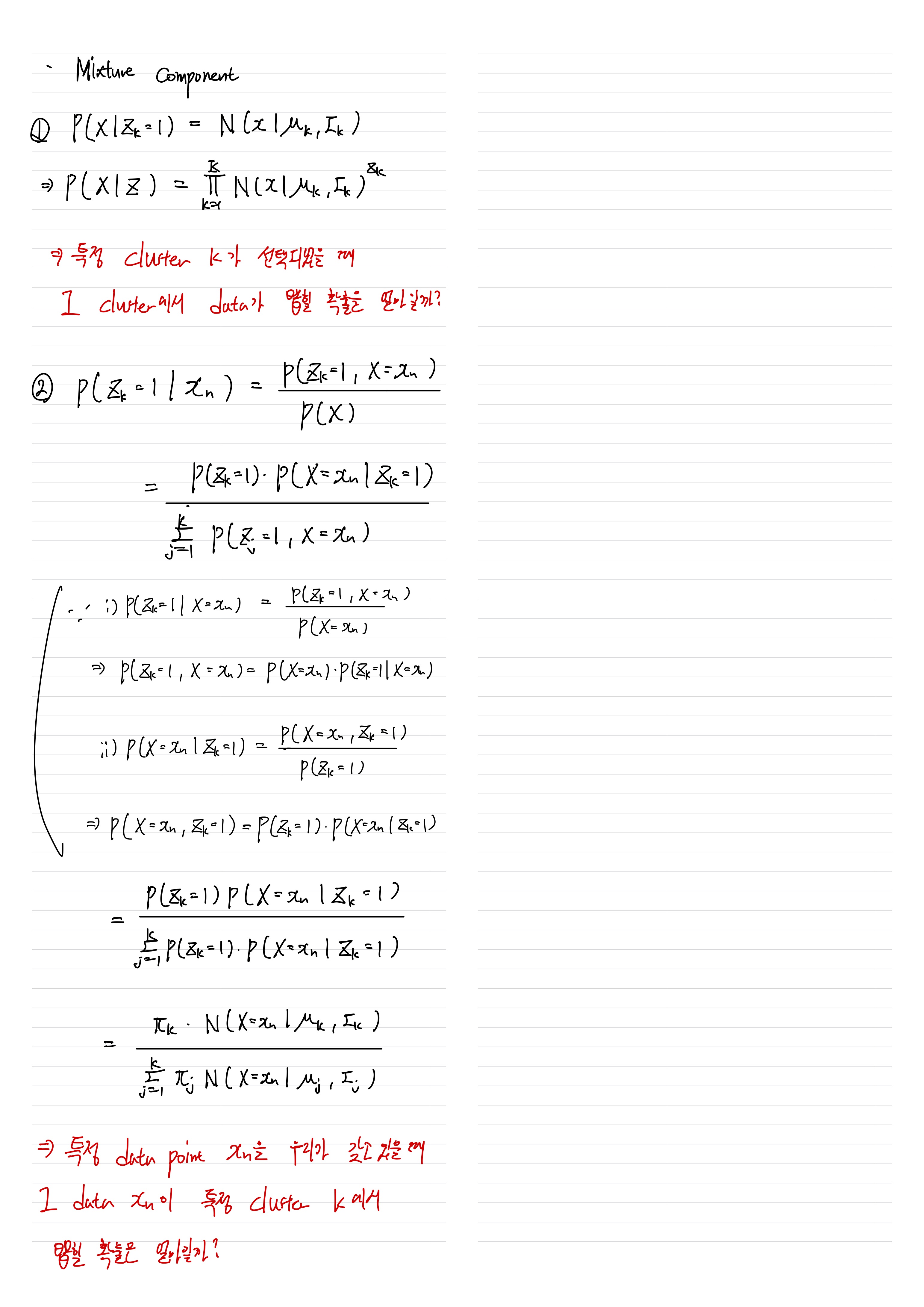
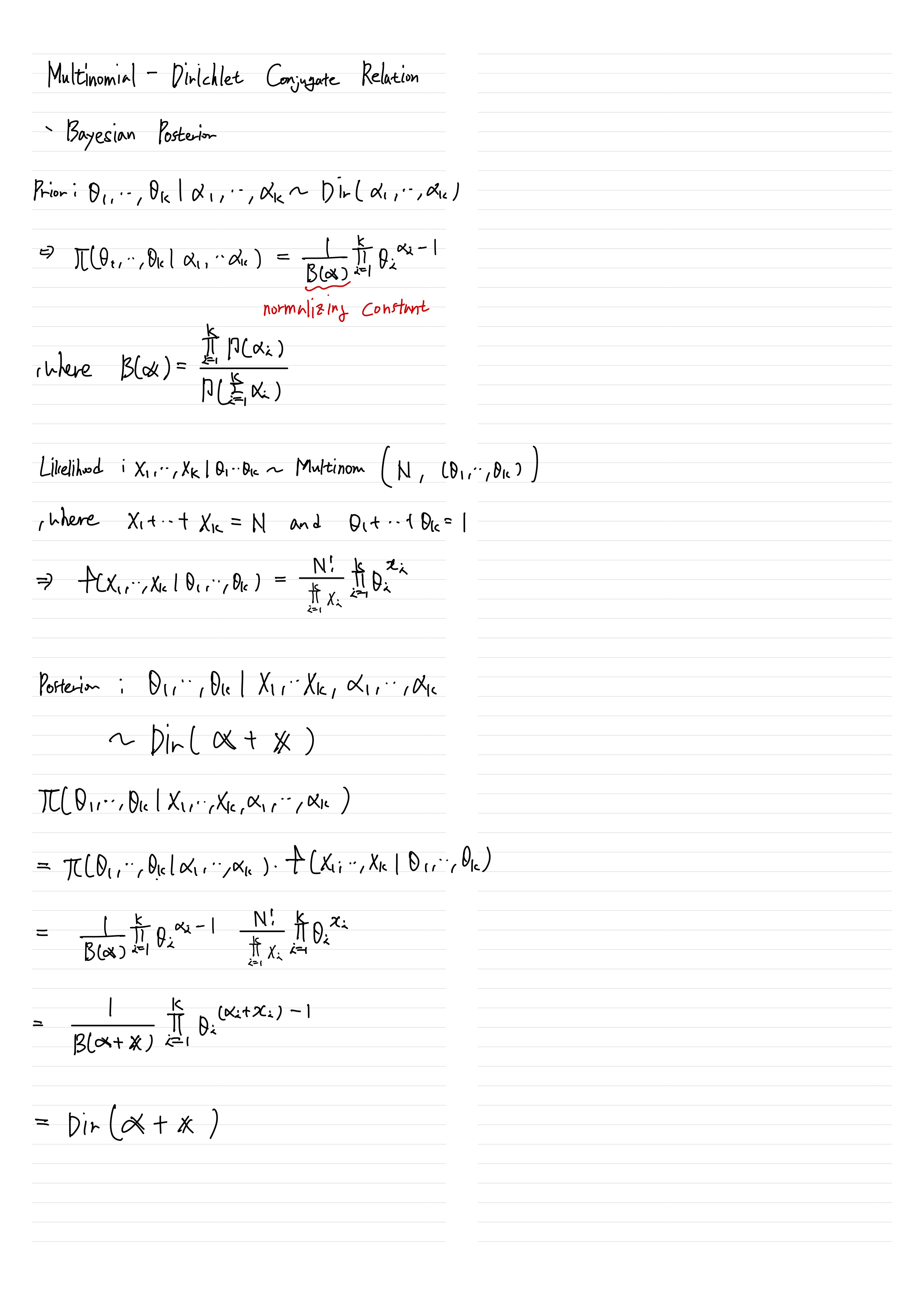
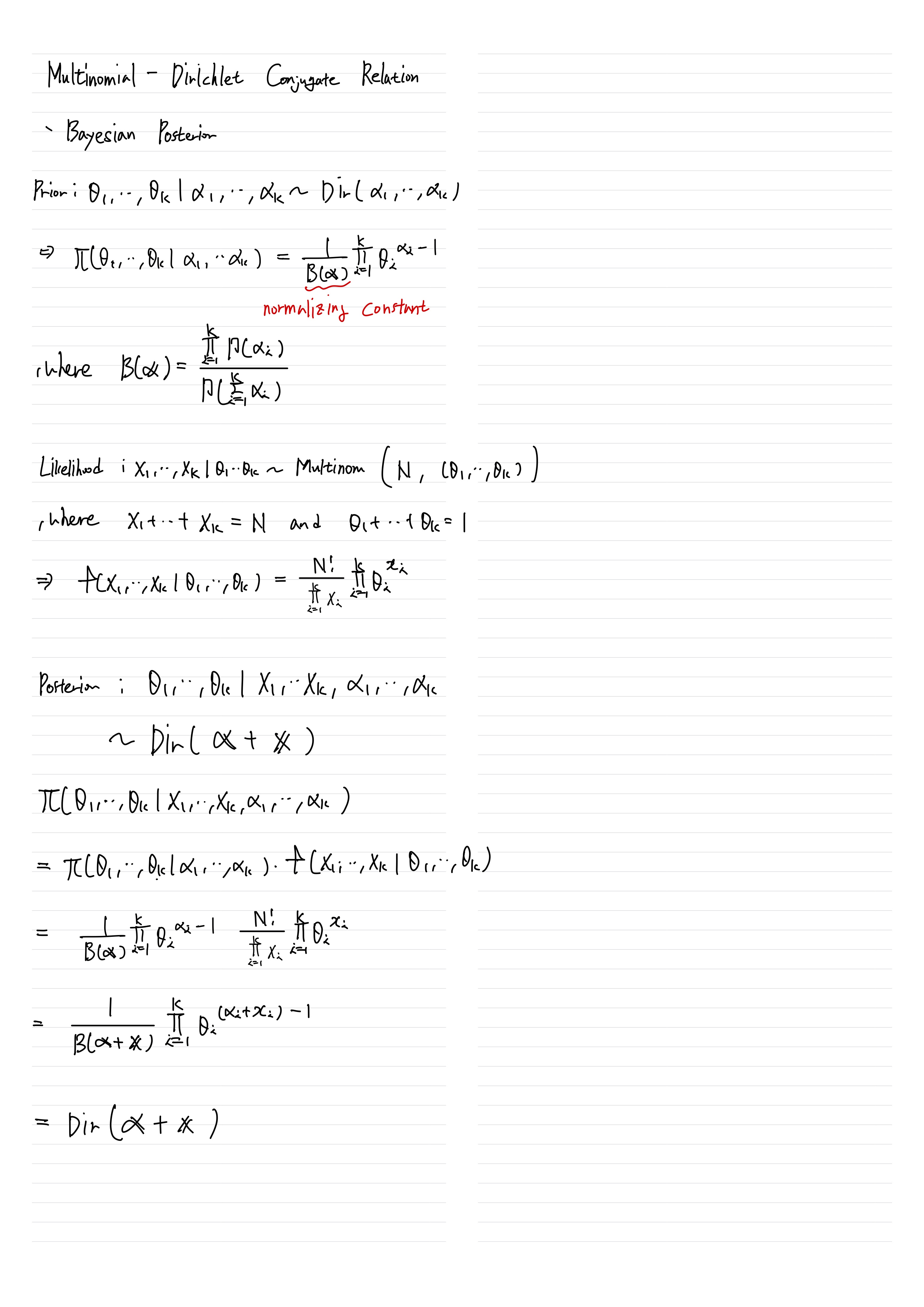
Gaussian Mixture Model and Dirichlet Distribution 본문





'Research' 카테고리의 다른 글
| Causal Inference in high dimensions: A marriage between Bayesian modeling and good frequentist properties. (0) | 2024.10.06 |
|---|---|
| Bayesian nonparametric modeling for causal inference. (0) | 2024.09.18 |
| BART : Bayesian additive regression trees (0) | 2024.09.15 |
| Dirichlet Process - Poly Urn Scheme (0) | 2024.07.23 |
Comments