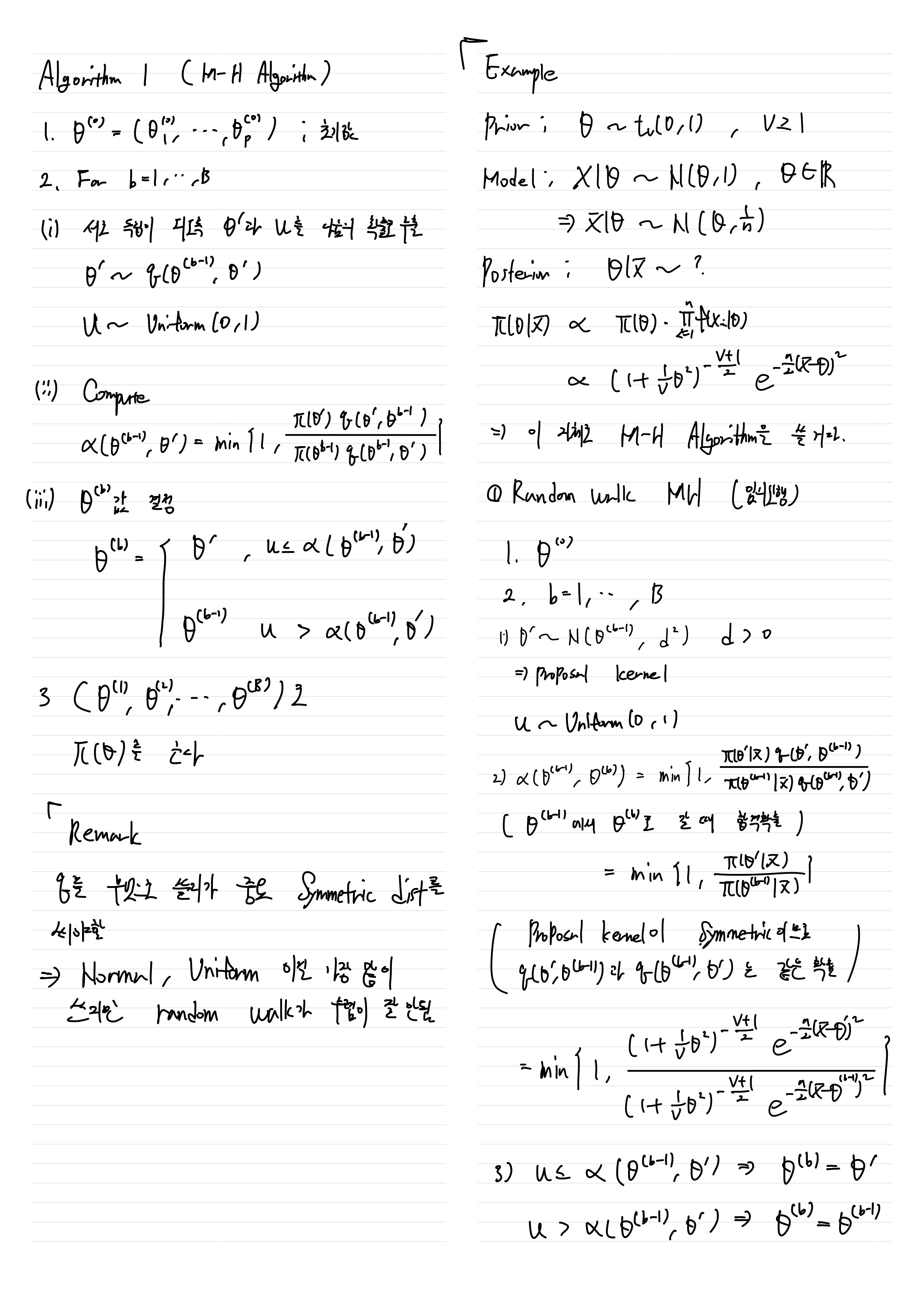
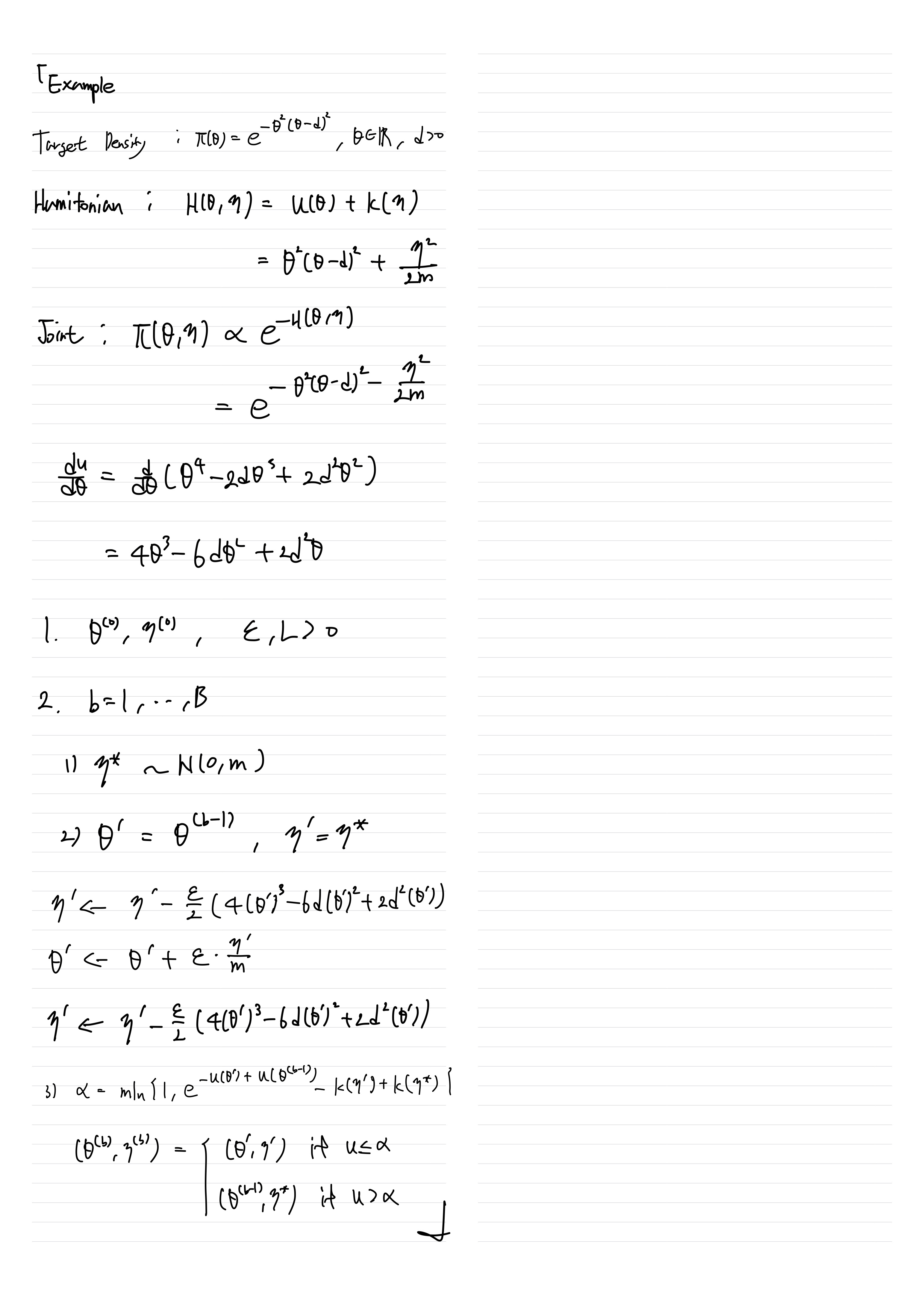
Chapter 9 - 2 : Markov Chain Monte Carlo 본문






'Applied > Bayesian Stat' 카테고리의 다른 글
| Chapter 12 : Bayesian Linear Regression (0) | 2023.06.06 |
|---|---|
| Chapter 9 - 1 : Markov Chain Monte Carlo (0) | 2023.06.05 |
| Chapter 5 - Computational Approach (0) | 2023.05.10 |
| Chapter 5 : Prior distribution (0) | 2023.04.02 |
| Chapter 4 : Bayesian Hypothesis Testing (0) | 2023.04.02 |