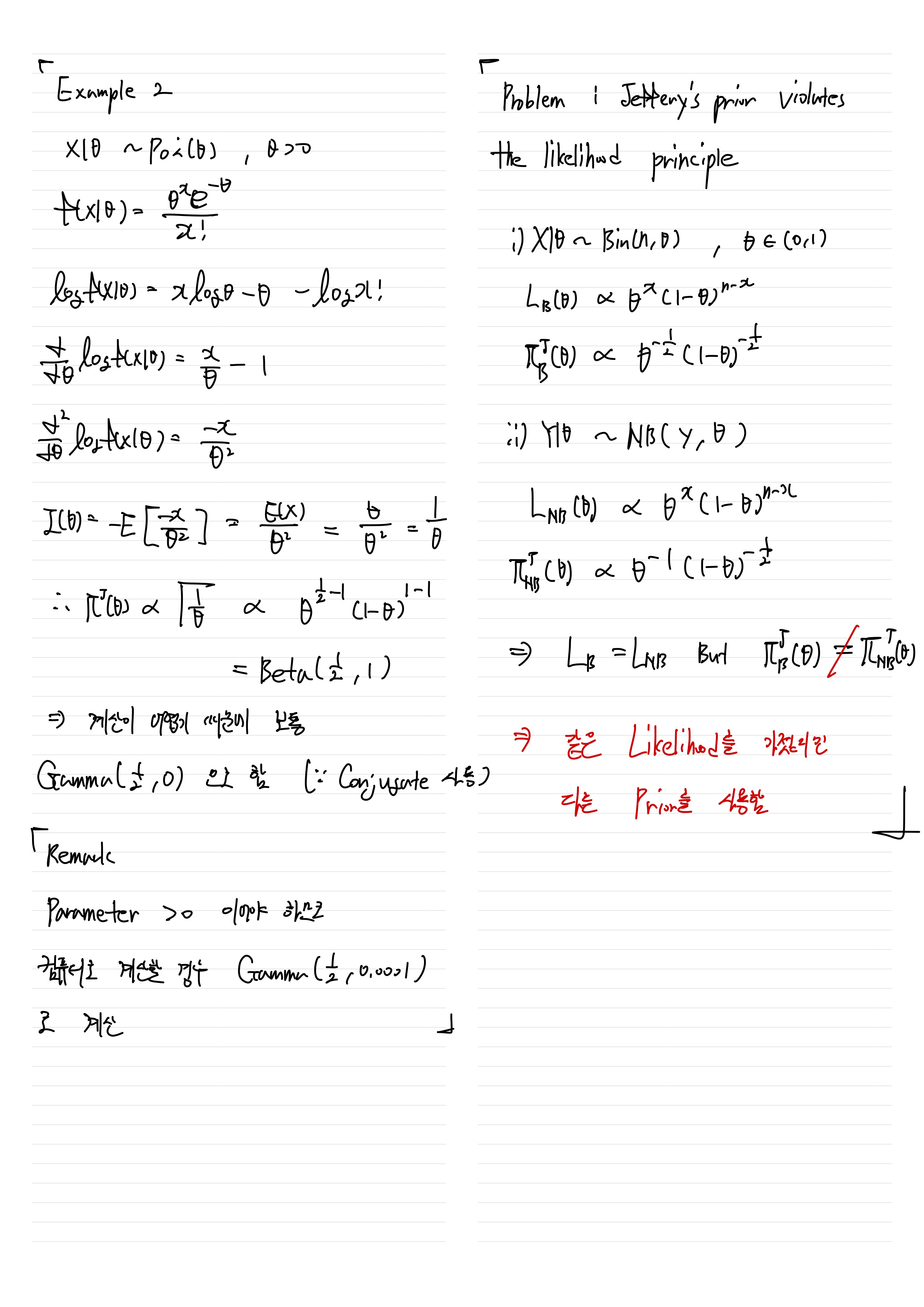
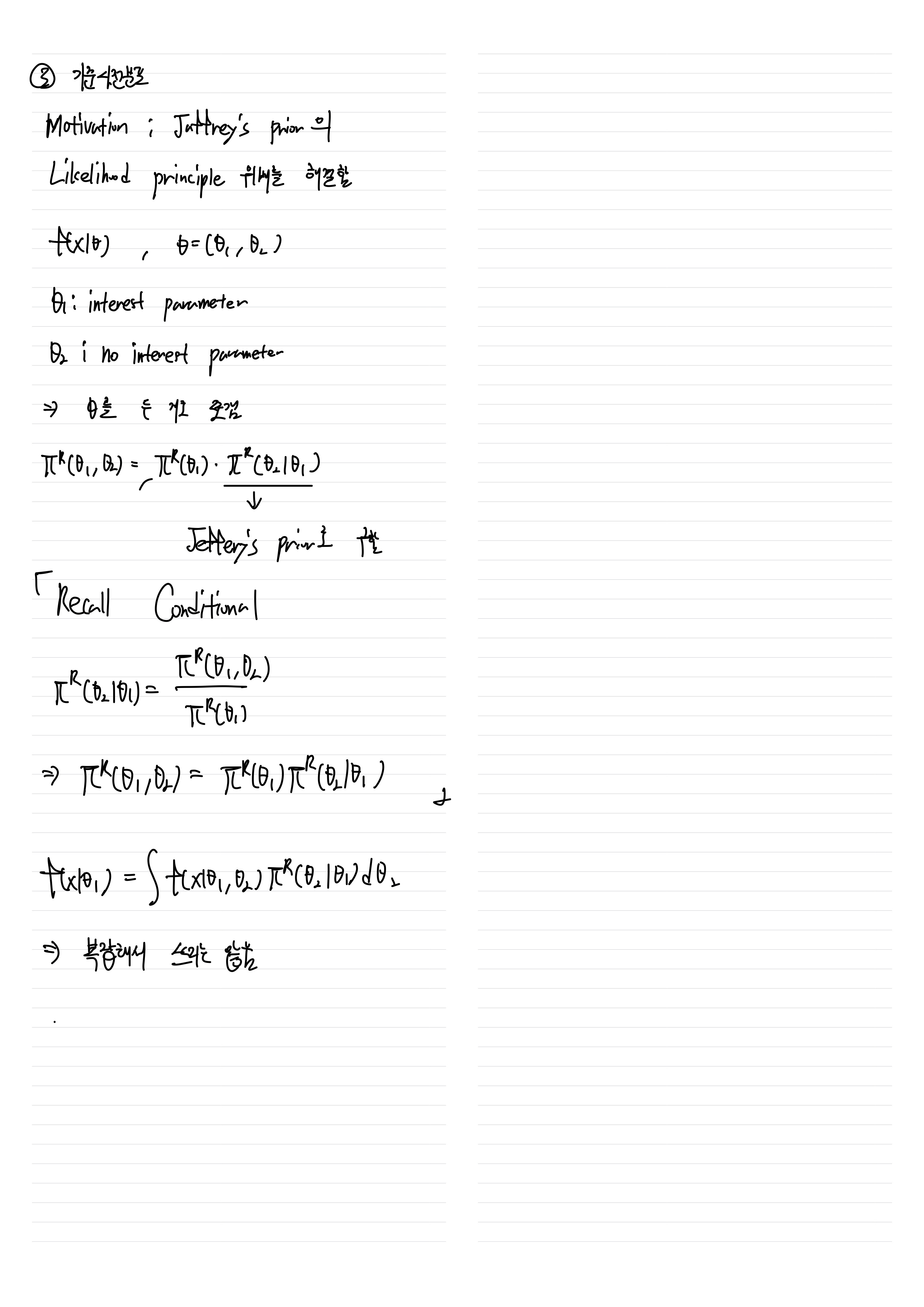
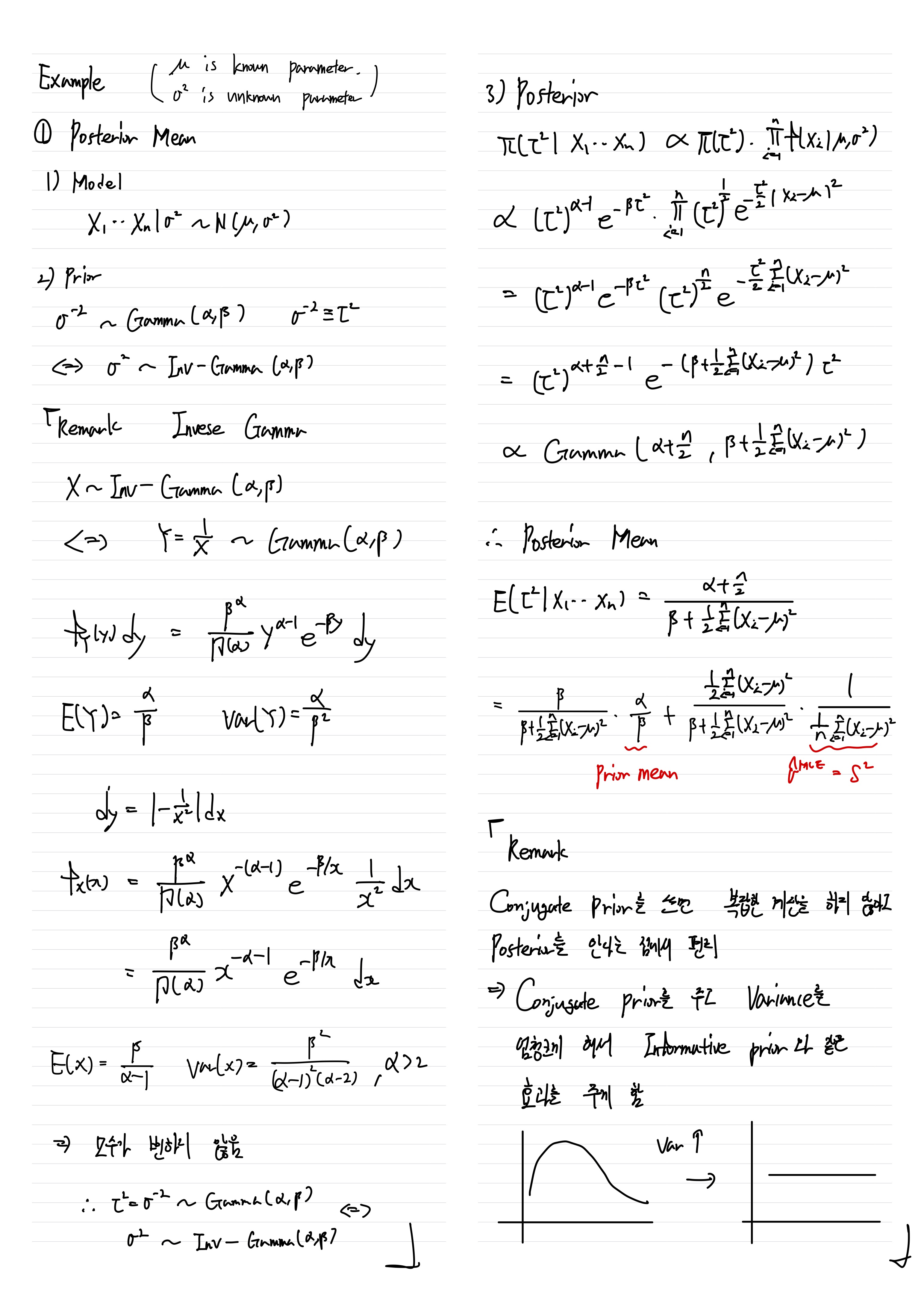
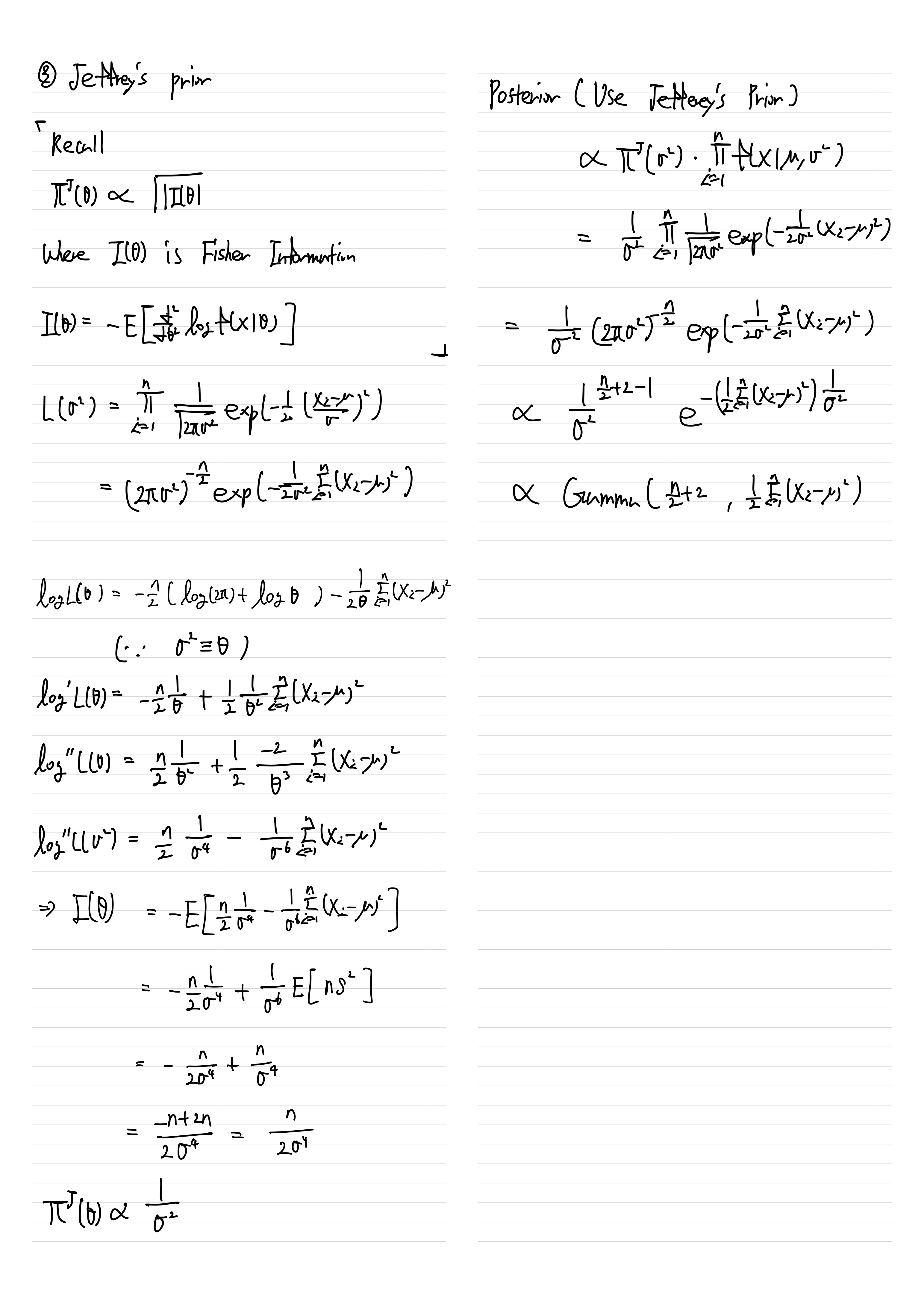
Chapter 5 : Prior distribution 본문










'Applied > Bayesian Stat' 카테고리의 다른 글
| Chapter 9 - 1 : Markov Chain Monte Carlo (0) | 2023.06.05 |
|---|---|
| Chapter 5 - Computational Approach (0) | 2023.05.10 |
| Chapter 4 : Bayesian Hypothesis Testing (0) | 2023.04.02 |
| Chapter 3 : Bayes Estimation - Point, Interval, Prediction (0) | 2023.03.25 |
| Chapter 2 : Bayesian Inference (0) | 2023.03.16 |
Comments