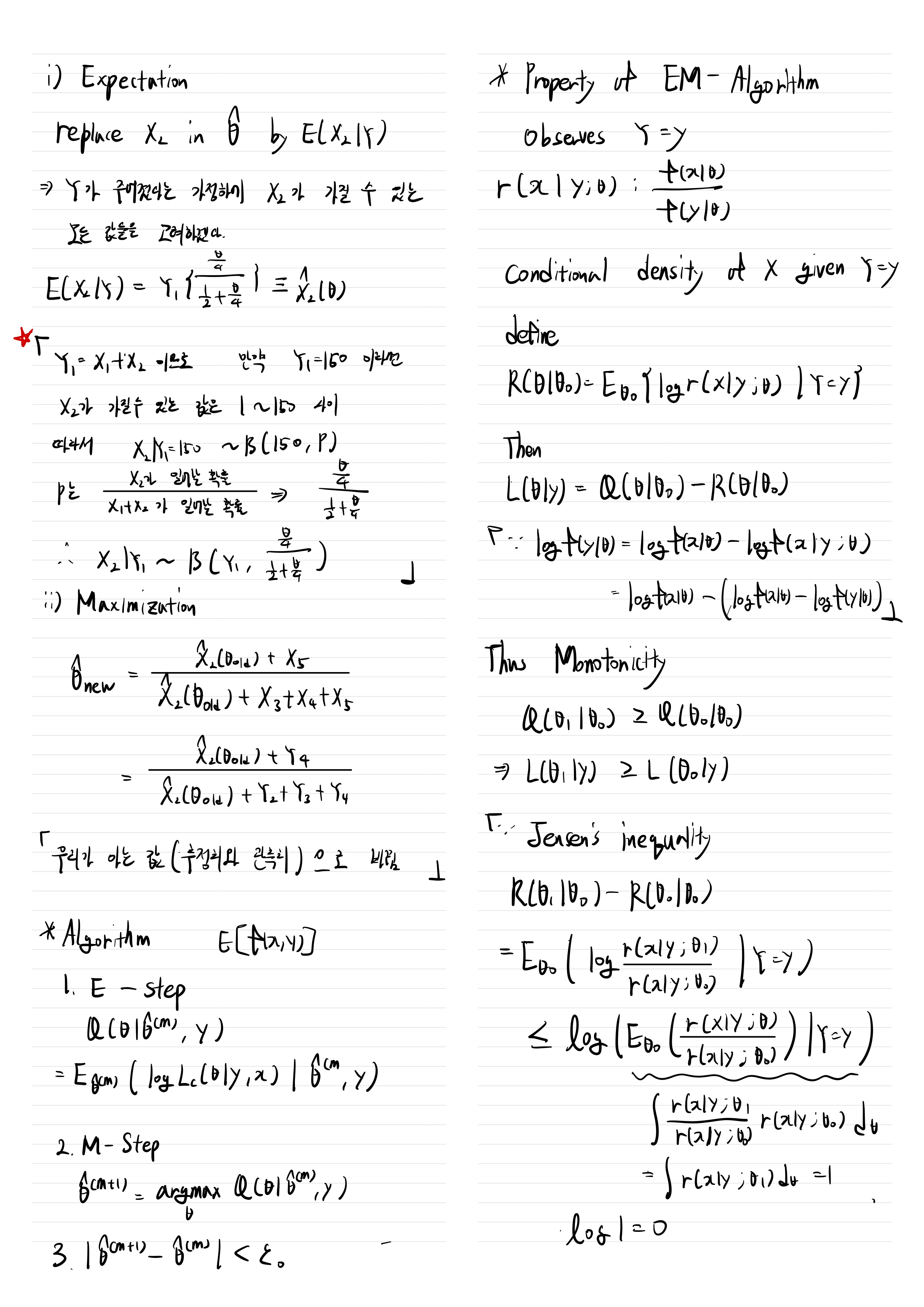
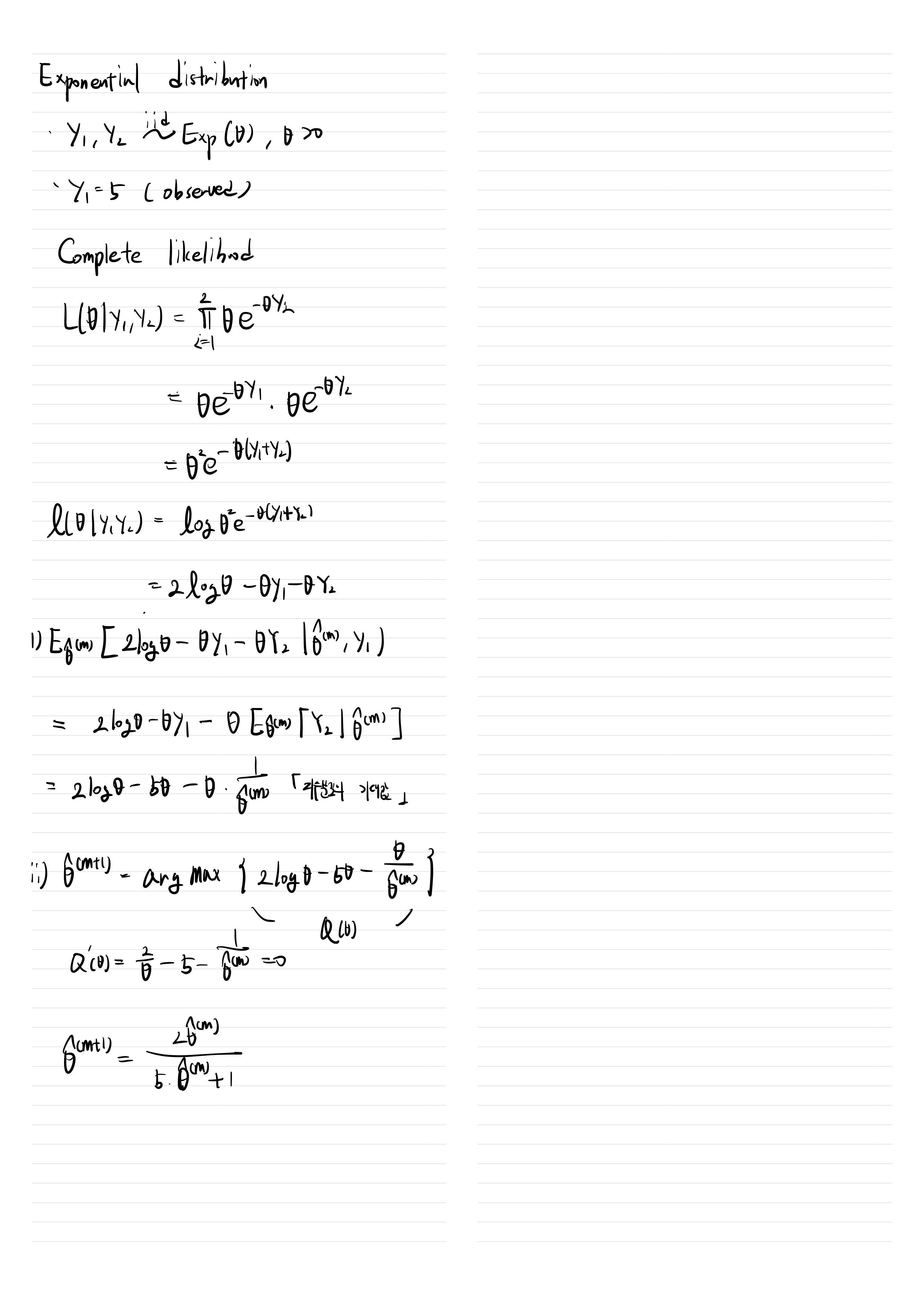
Chapter 14.5 ) The EM - Algorithm 본문




'Applied > Statistical Computing' 카테고리의 다른 글
| Permutation Test (1) | 2022.12.01 |
|---|---|
| Jackknife (0) | 2022.11.27 |
| Chapter 14 - 1 ) Quasi-Newton Algorithm (0) | 2022.11.18 |
| Chapter 14 - 0 ) Optimization Introduction (0) | 2022.11.17 |
| Bootstrap estimate of bias (0) | 2022.11.13 |
Comments