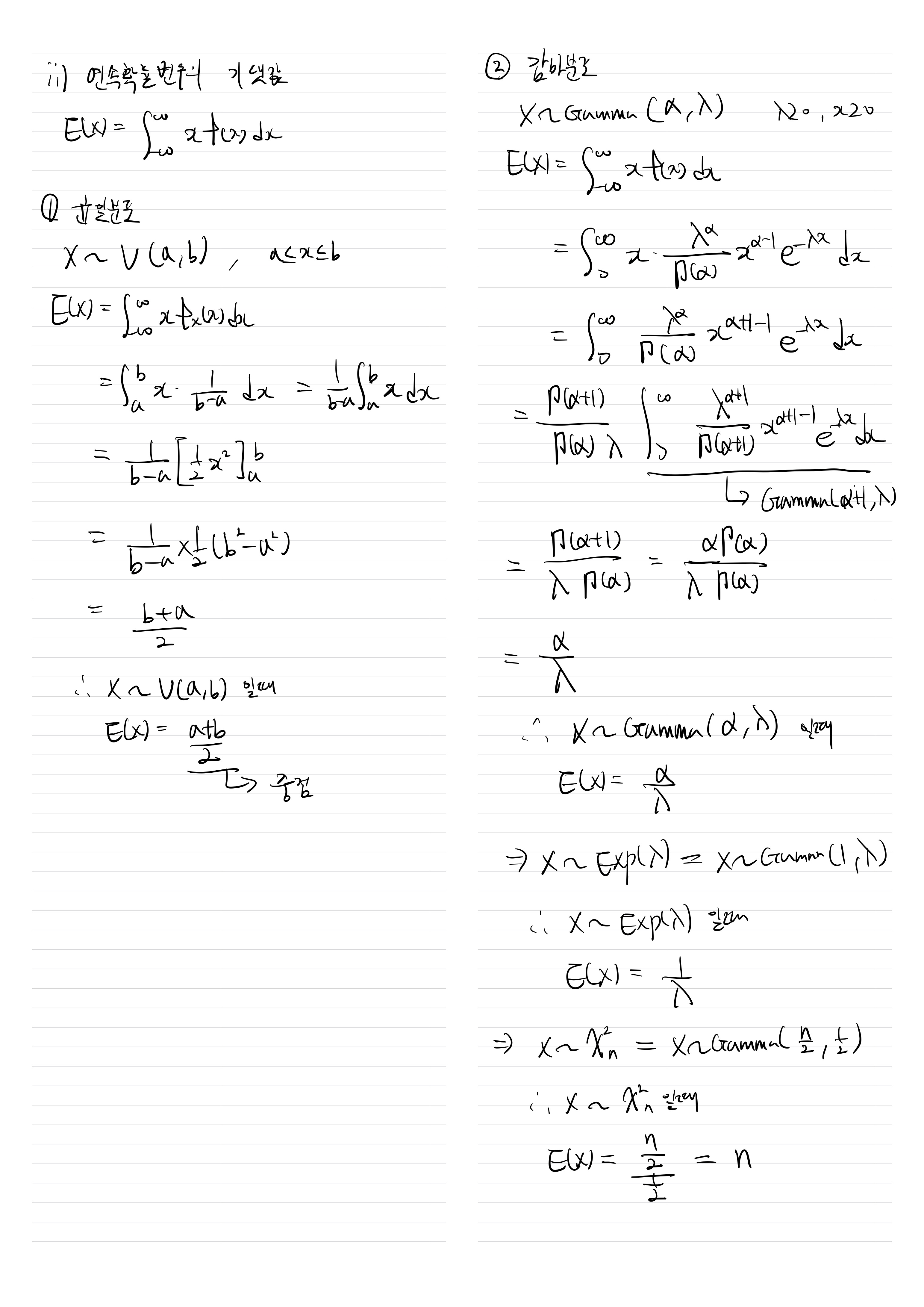
7. 기댓값 본문






'Fundamental > Mathematical Stat' 카테고리의 다른 글
| 9. 조건부 분포의 기댓값과 분산 (0) | 2022.08.06 |
|---|---|
| 8. 분산과 표준편차 (0) | 2022.08.05 |
| 6. 합의 분포와 곱의 분포 (0) | 2022.08.02 |
| 5. 조건부 분포 (0) | 2022.08.01 |
| 4. 결합분포와 독립 (0) | 2022.08.01 |
Comments






| 9. 조건부 분포의 기댓값과 분산 (0) | 2022.08.06 |
|---|---|
| 8. 분산과 표준편차 (0) | 2022.08.05 |
| 6. 합의 분포와 곱의 분포 (0) | 2022.08.02 |
| 5. 조건부 분포 (0) | 2022.08.01 |
| 4. 결합분포와 독립 (0) | 2022.08.01 |