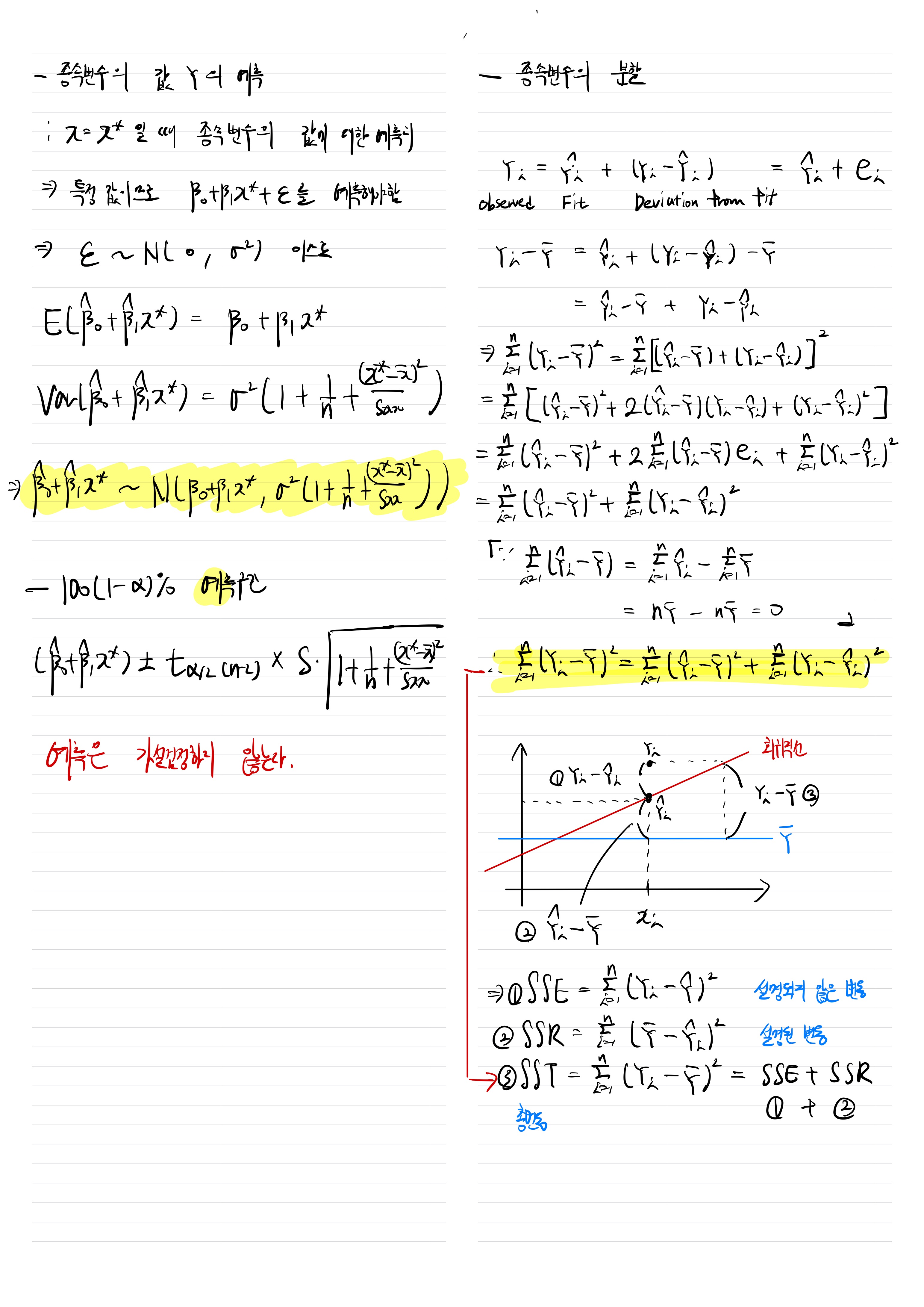
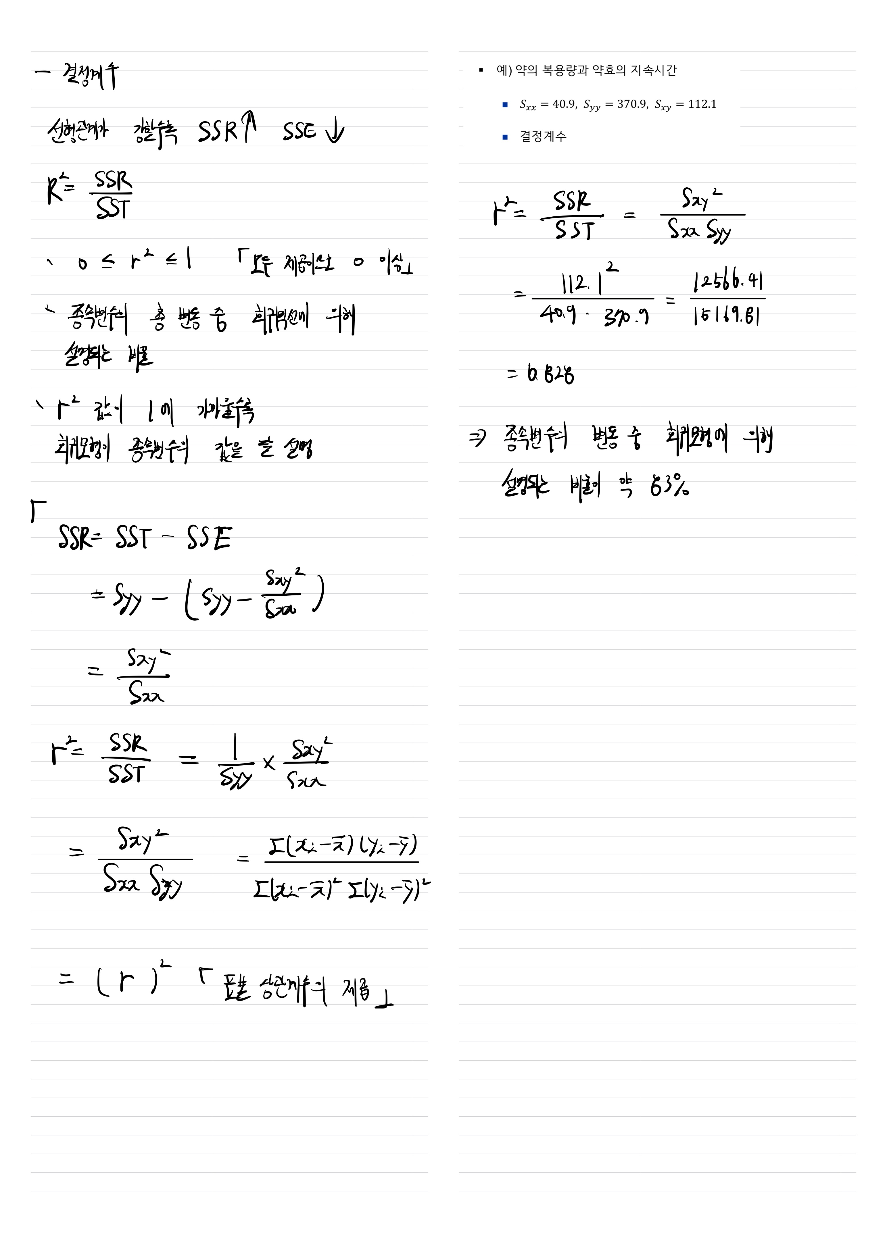
회귀분석 - 단순선형회귀모형 본문











'Fundamental > Elementary Stat' 카테고리의 다른 글
| 범주형 자료분석(Categorical Data) (0) | 2022.11.23 |
|---|---|
| ANOVA(Analysis Of Variance) (0) | 2022.11.15 |
| 두 모비율의 차에 대한 추론 (0) | 2022.10.11 |
| 두 모집단의 비교(Independent sample과 matched sample차이) (0) | 2022.10.11 |
| 두 모집단의 비교(matched samples) (0) | 2022.10.04 |