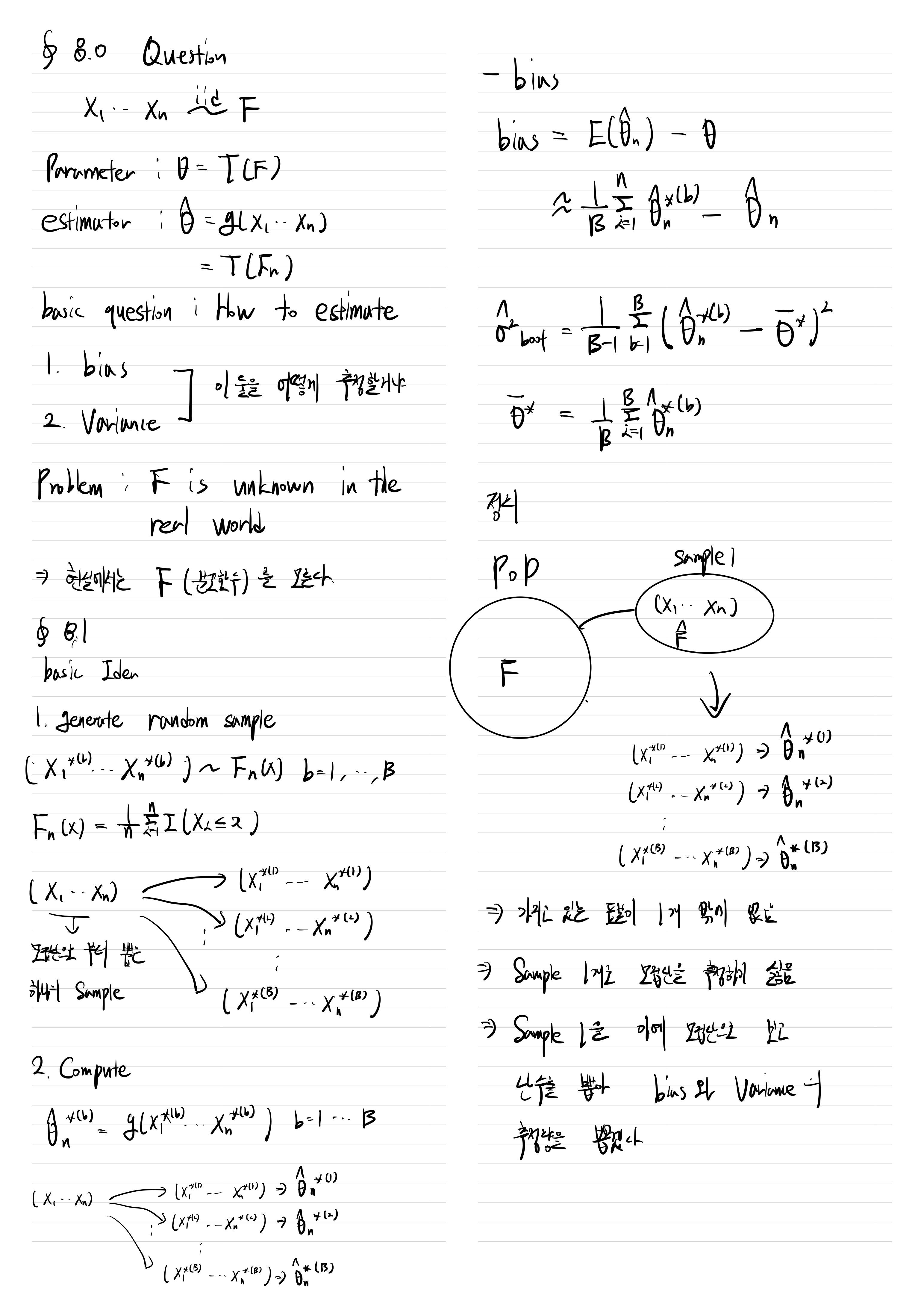
Chapter 8 -1) Bootstrap 본문




참고 :
emprical distribution : https://www.stat.cmu.edu/~larry/=stat325.01/chapter7.pdf
https://myweb.uiowa.edu/pbreheny/uk/teaching/621/notes/8-23.pdf
bootstrap : http://faculty.washington.edu/yenchic/19A_stat535/Lec10_bootstrap.pdf
'Applied > Statistical Computing' 카테고리의 다른 글
| The Jackknife (0) | 2022.11.03 |
|---|---|
| 8-3 ) Bootstrap Confidence Interval (0) | 2022.11.01 |
| 7 ) Monte Carlo methods In Inference (0) | 2022.10.11 |
| Variance Reduction - Importance Sampling and Stratified Sampling (0) | 2022.10.11 |
| Variance Reduction - Control Variate (0) | 2022.10.10 |
