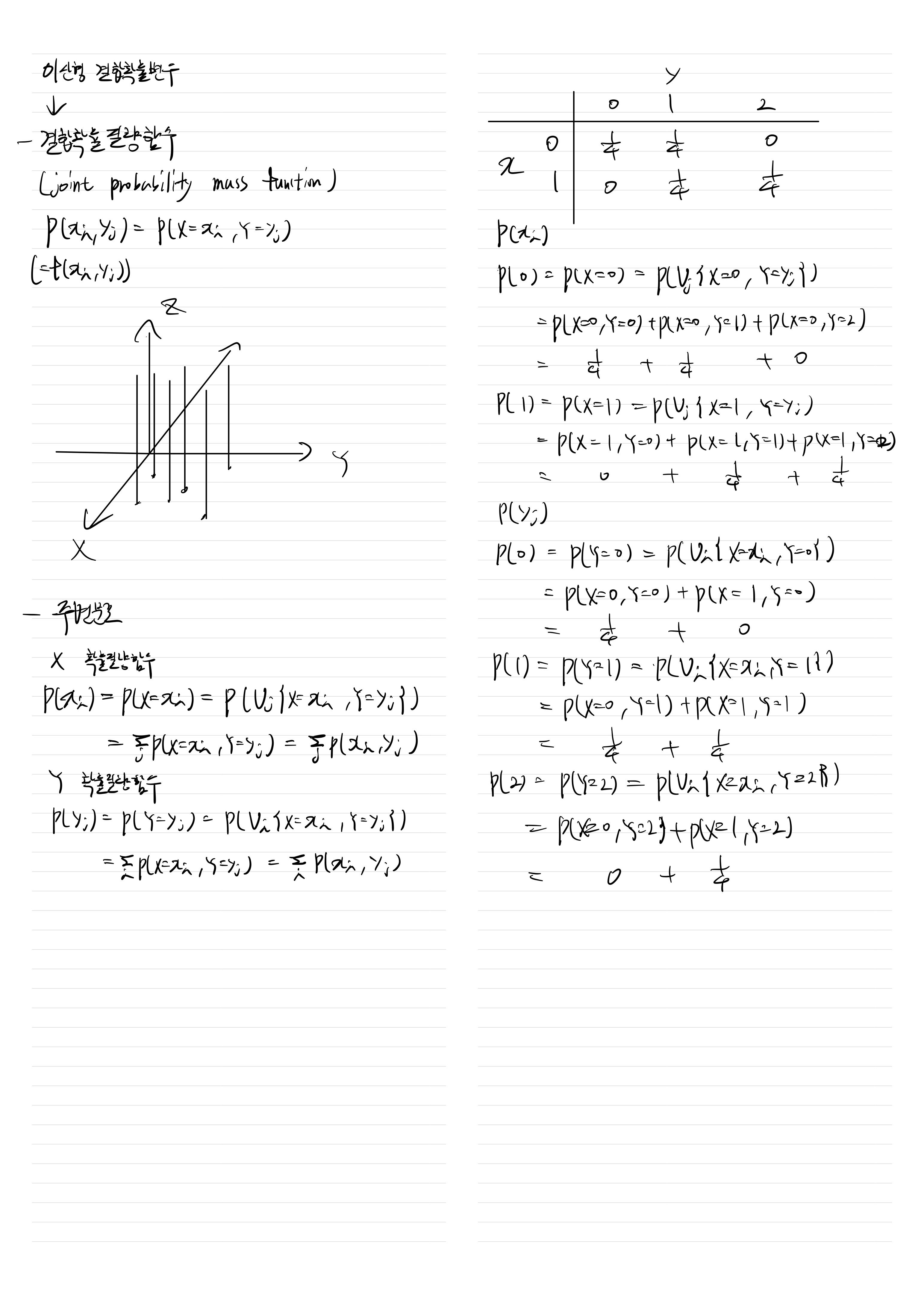
4. 결합분포와 독립 본문




'Fundamental > Mathematical Stat' 카테고리의 다른 글
| 6. 합의 분포와 곱의 분포 (0) | 2022.08.02 |
|---|---|
| 5. 조건부 분포 (0) | 2022.08.01 |
| 3. 연속확률변수와 연속확률분포 (0) | 2022.07.29 |
| 2. 이산확률변수와 이산확률분포 (0) | 2022.07.28 |
| 1. 확률 (0) | 2022.07.28 |
Comments




| 6. 합의 분포와 곱의 분포 (0) | 2022.08.02 |
|---|---|
| 5. 조건부 분포 (0) | 2022.08.01 |
| 3. 연속확률변수와 연속확률분포 (0) | 2022.07.29 |
| 2. 이산확률변수와 이산확률분포 (0) | 2022.07.28 |
| 1. 확률 (0) | 2022.07.28 |