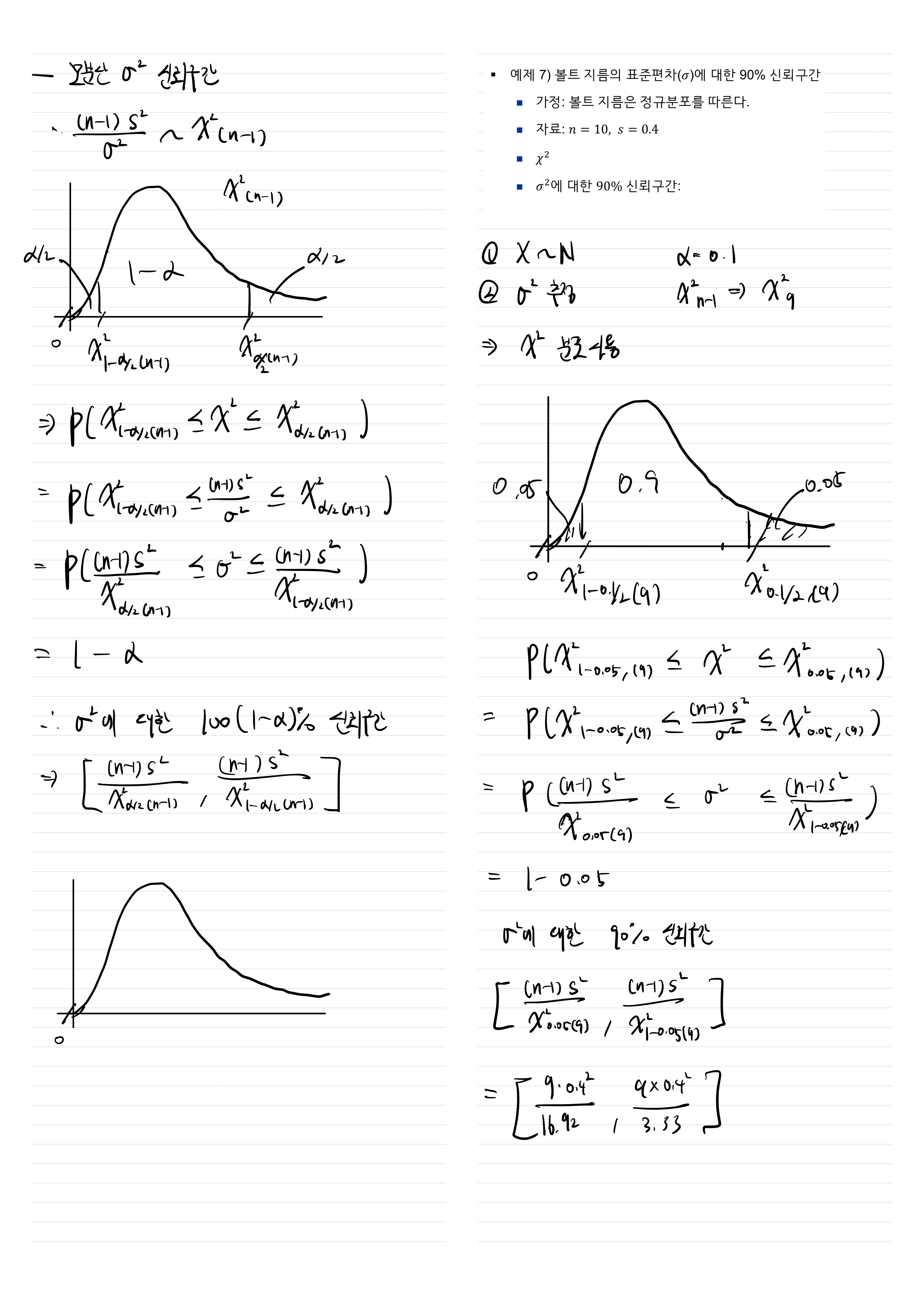
Inference on Population standard deviation and Chi square distribution 본문
Fundamental/Elementary Stat
Inference on Population standard deviation and Chi square distribution
TaeTrix 2022. 9. 28. 22:36


'Fundamental > Elementary Stat' 카테고리의 다른 글
| 두 모집단의 비교(matched samples) (0) | 2022.10.04 |
|---|---|
| 12. 두 모집단의 비교 (independent samples) (0) | 2022.09.29 |
| 11. 표본크기가 작을 때 추정과 검정 - T - Test (0) | 2022.09.22 |
| Significance Probability and Z - Test (0) | 2022.09.20 |
| Hypothesis Testing and Test Statistic (0) | 2022.09.18 |
Comments