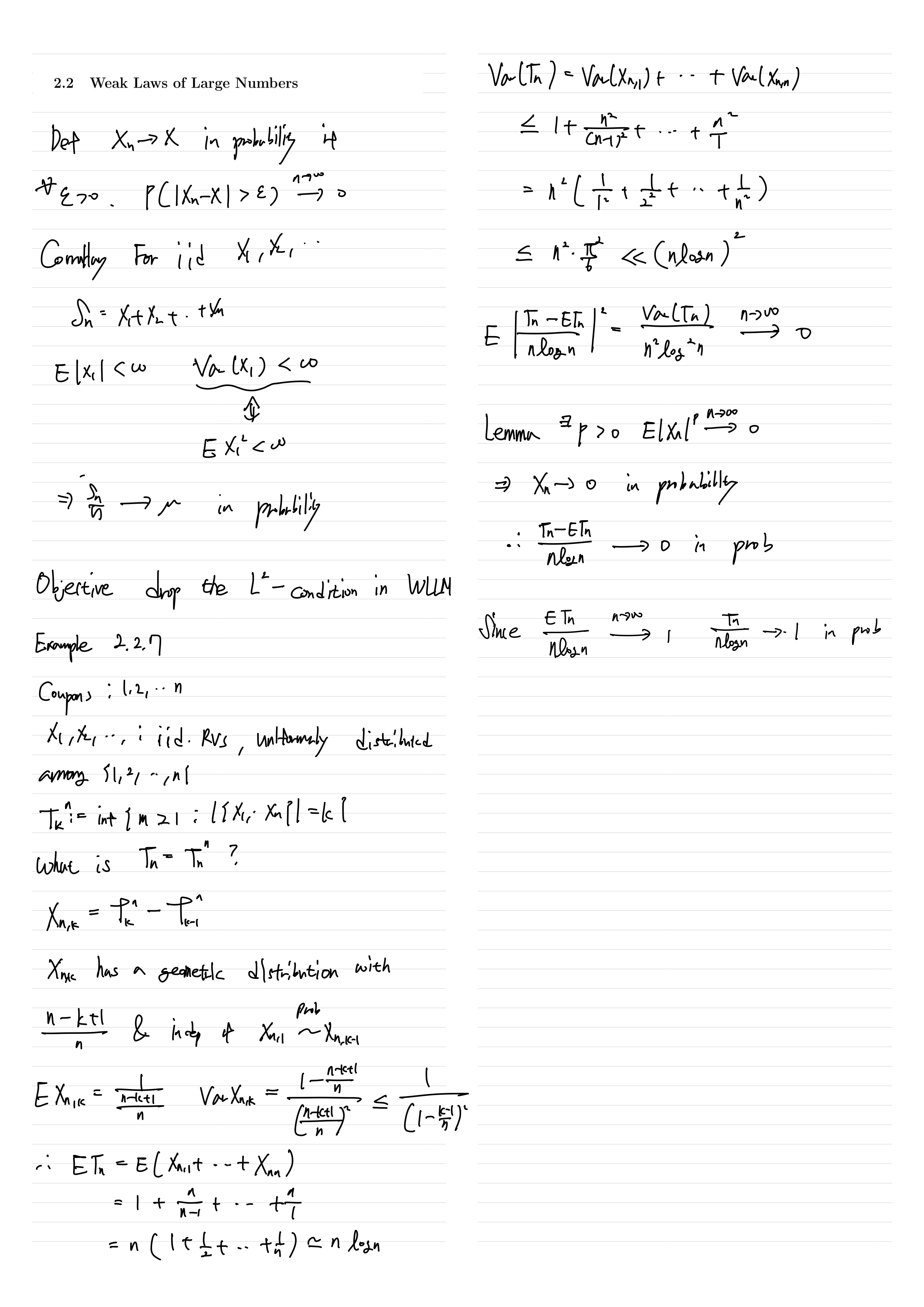
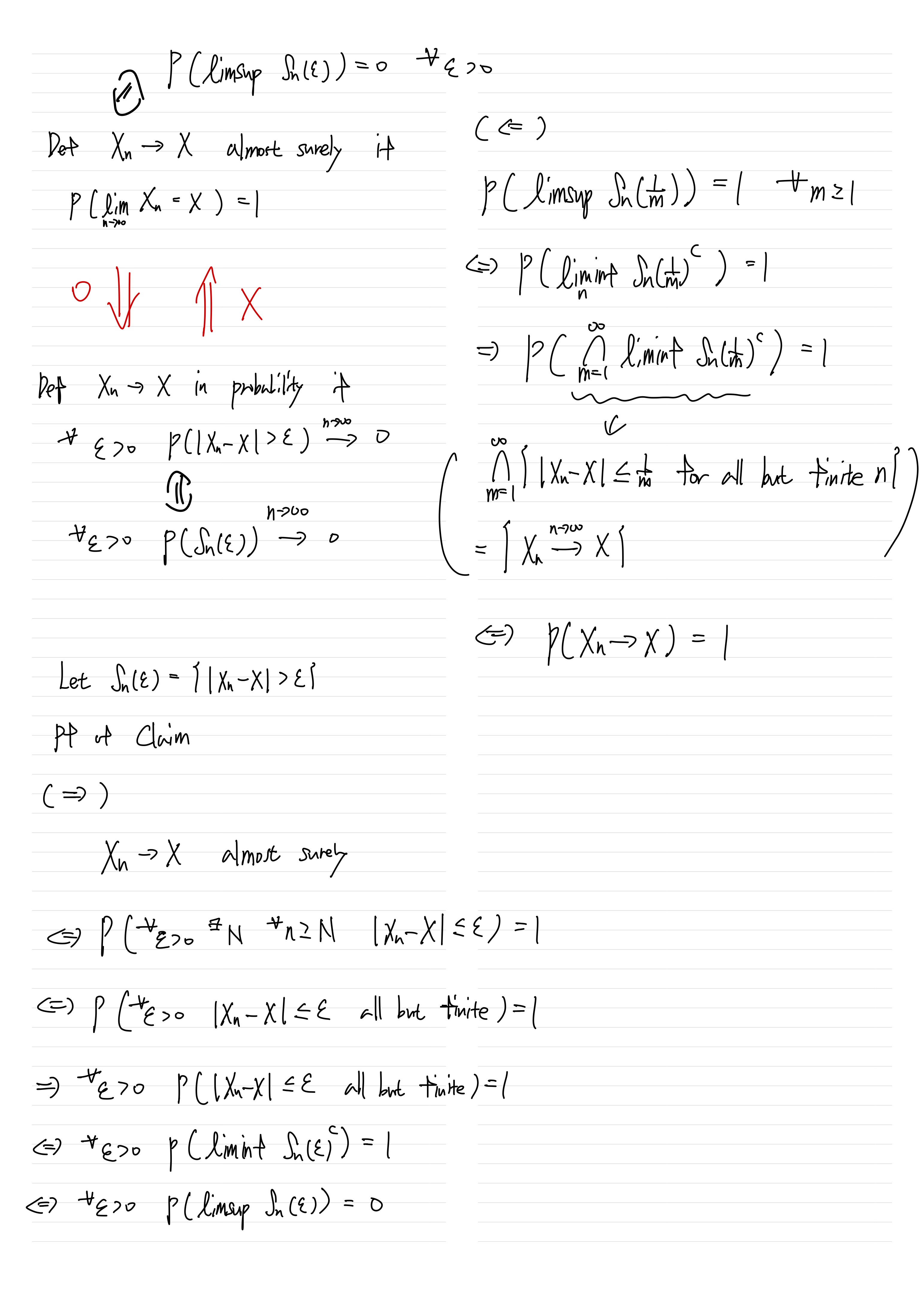
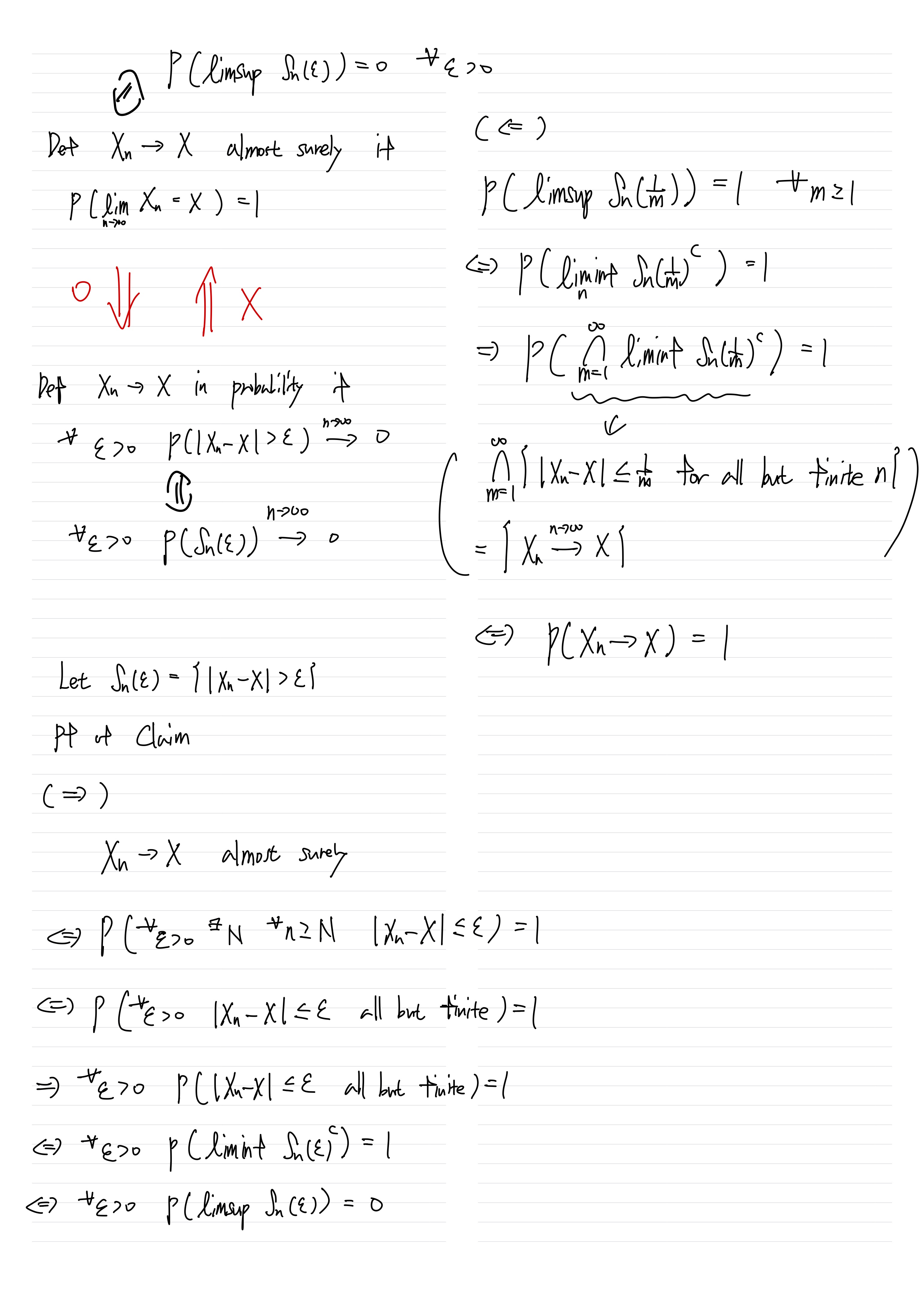
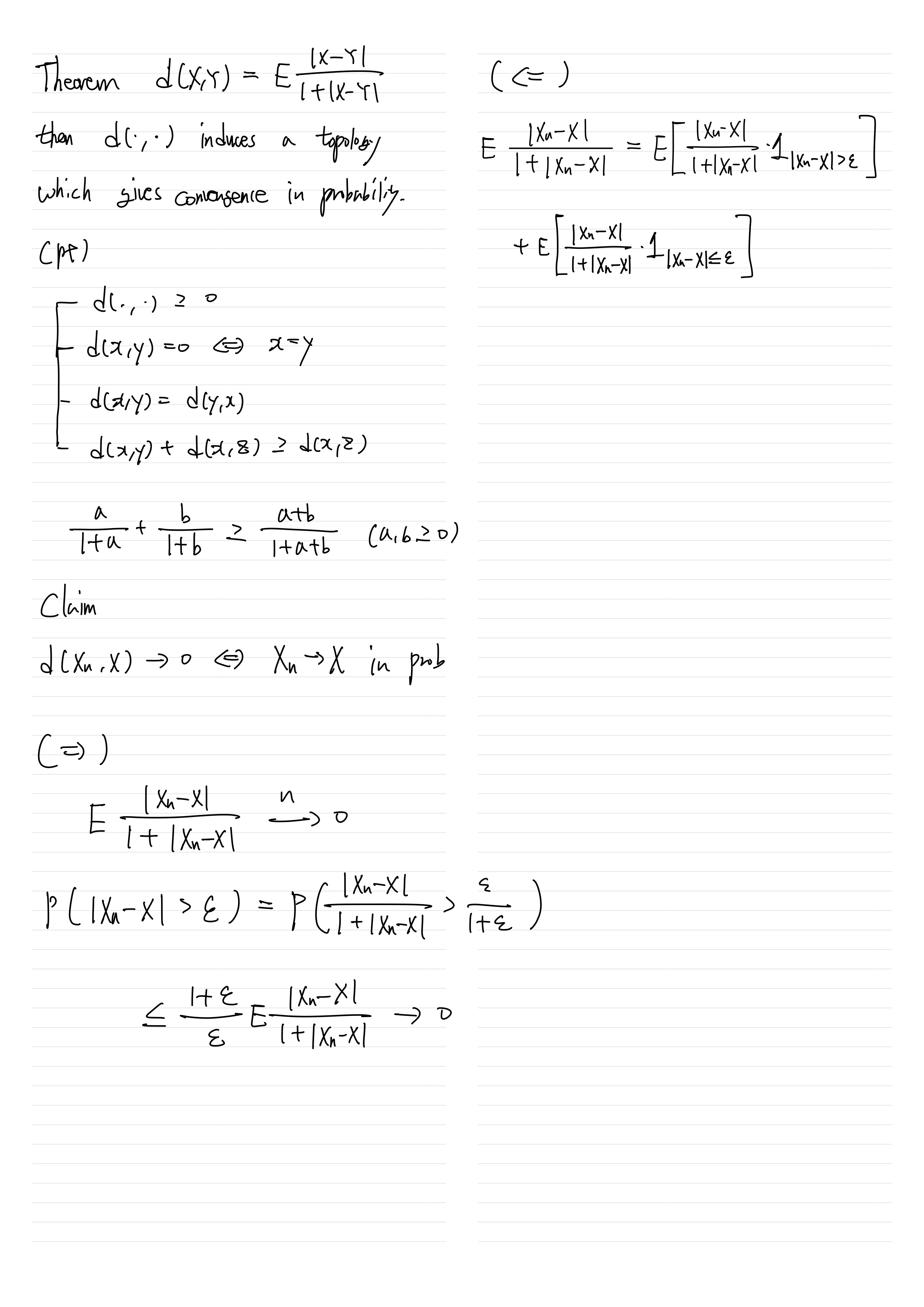
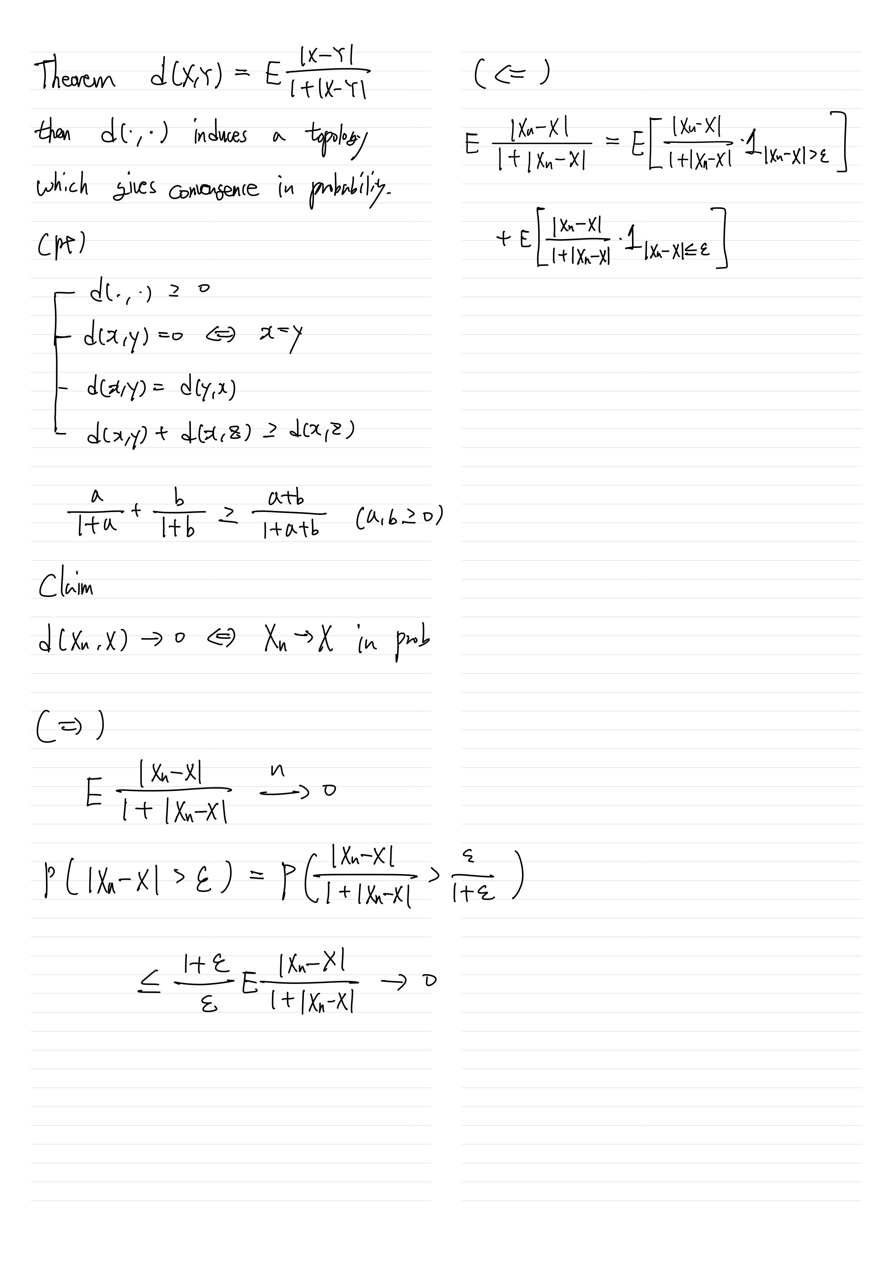
Chapter 2-2 Weak Laws of Large Numbers 본문










'Fundamental > Probability Theroy' 카테고리의 다른 글
| Chapter 3-2 Weak Convergence (0) | 2024.10.26 |
|---|---|
| Chapter 2-3 (0) | 2024.10.22 |
| Chapter 2 Laws of Large Numbers (0) | 2024.10.22 |
| Chapter 1-1 Measure Theory (0) | 2024.10.22 |
| Chapter 1 Measure Theory (0) | 2024.10.13 |
Comments