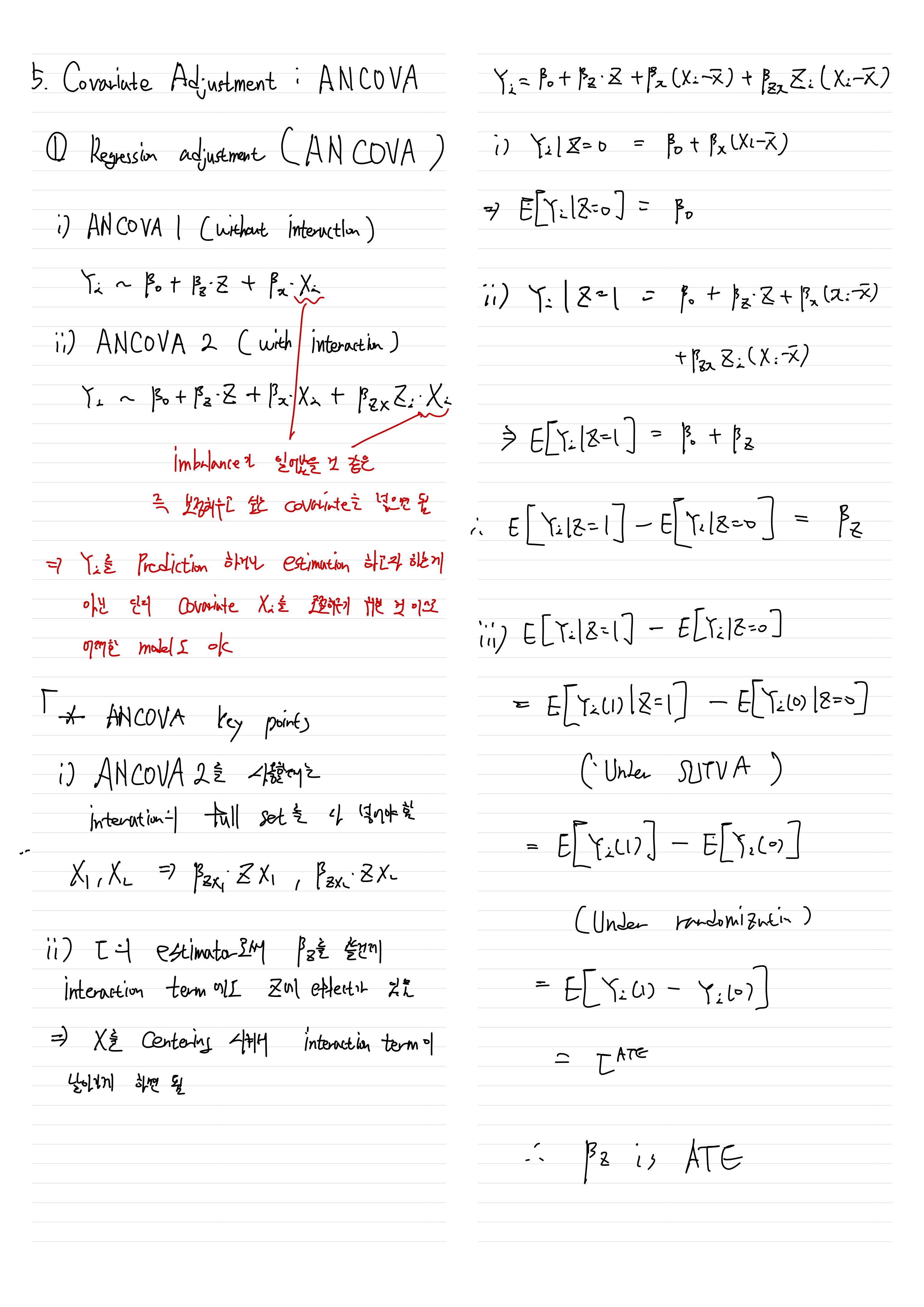
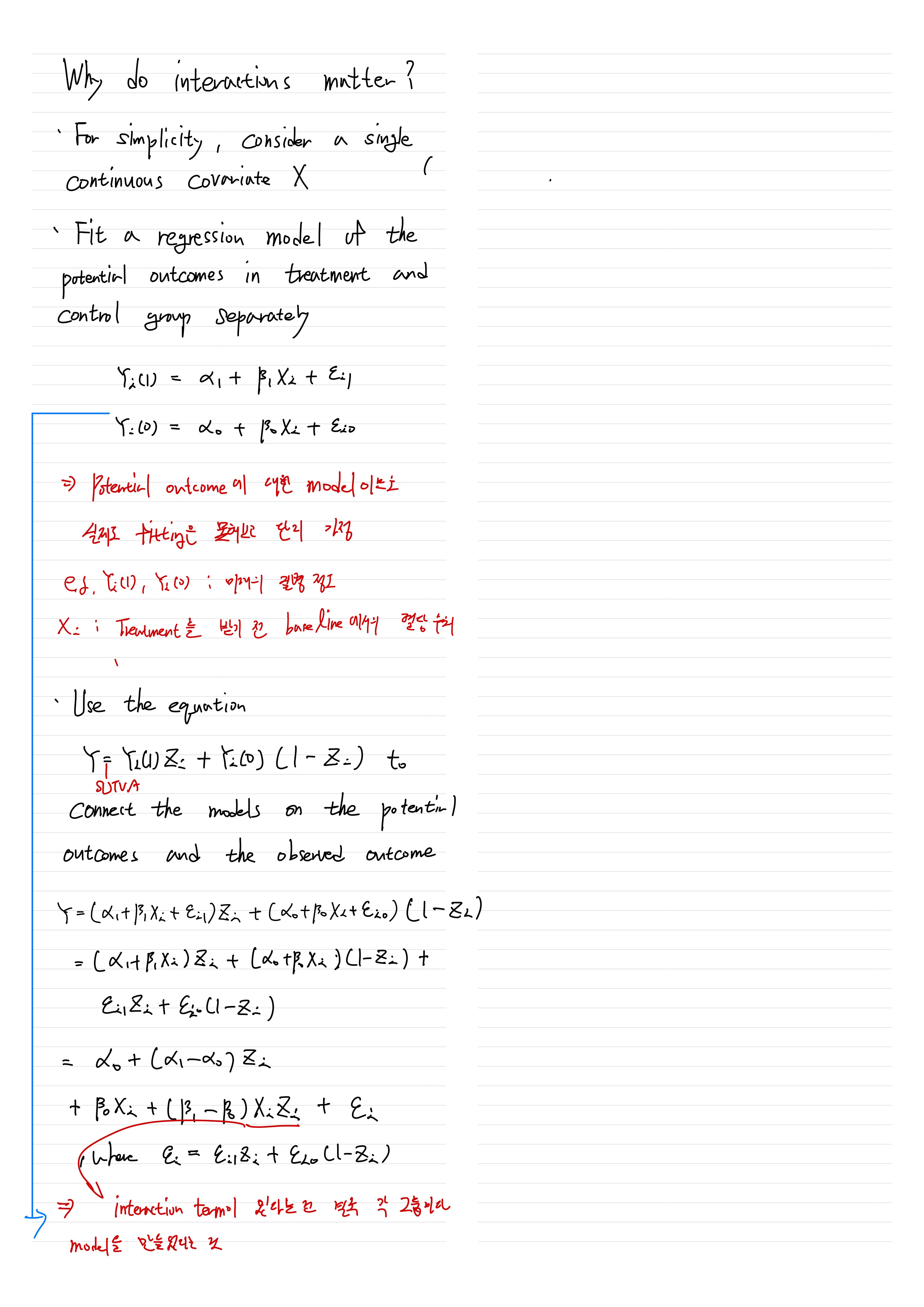
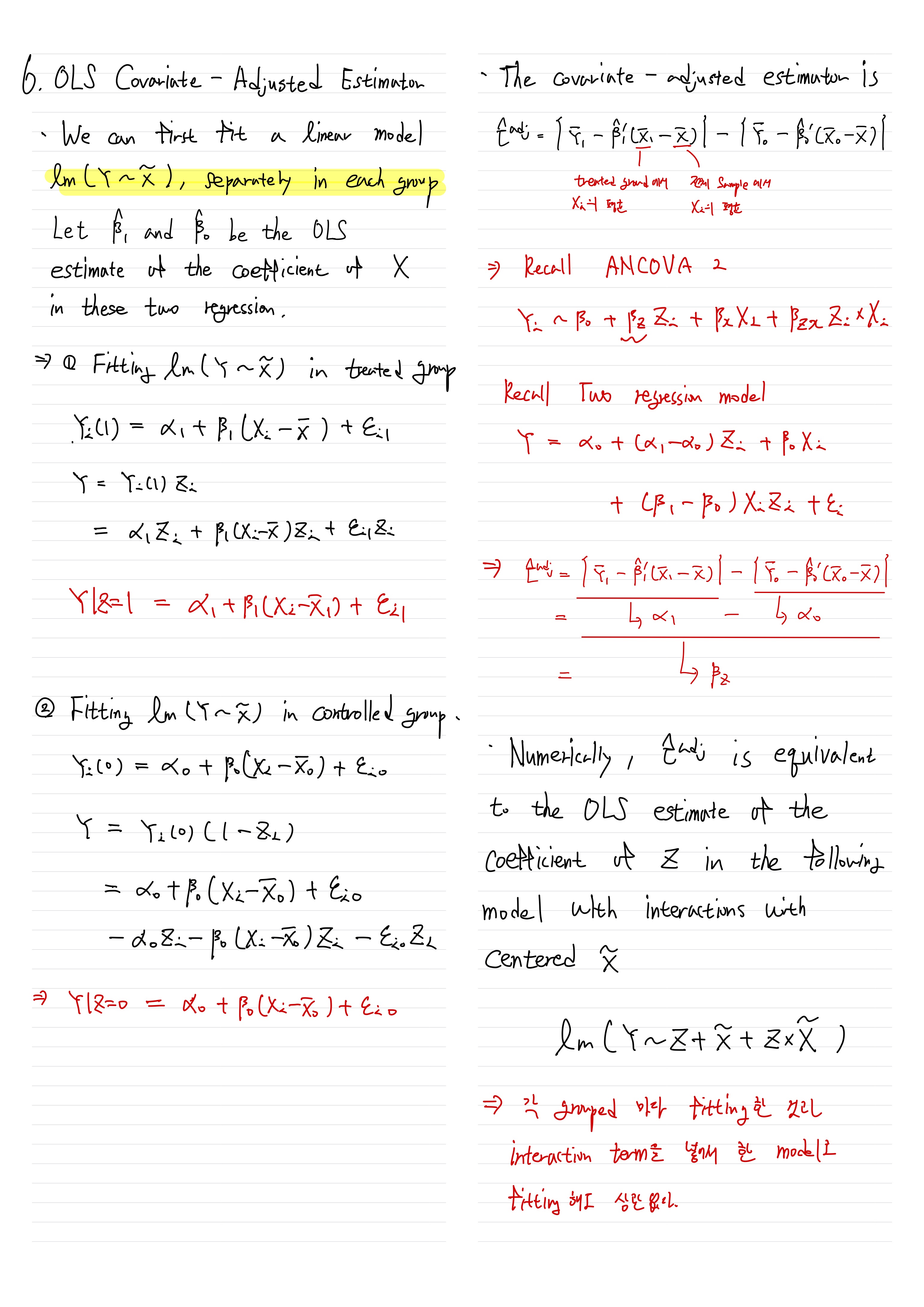
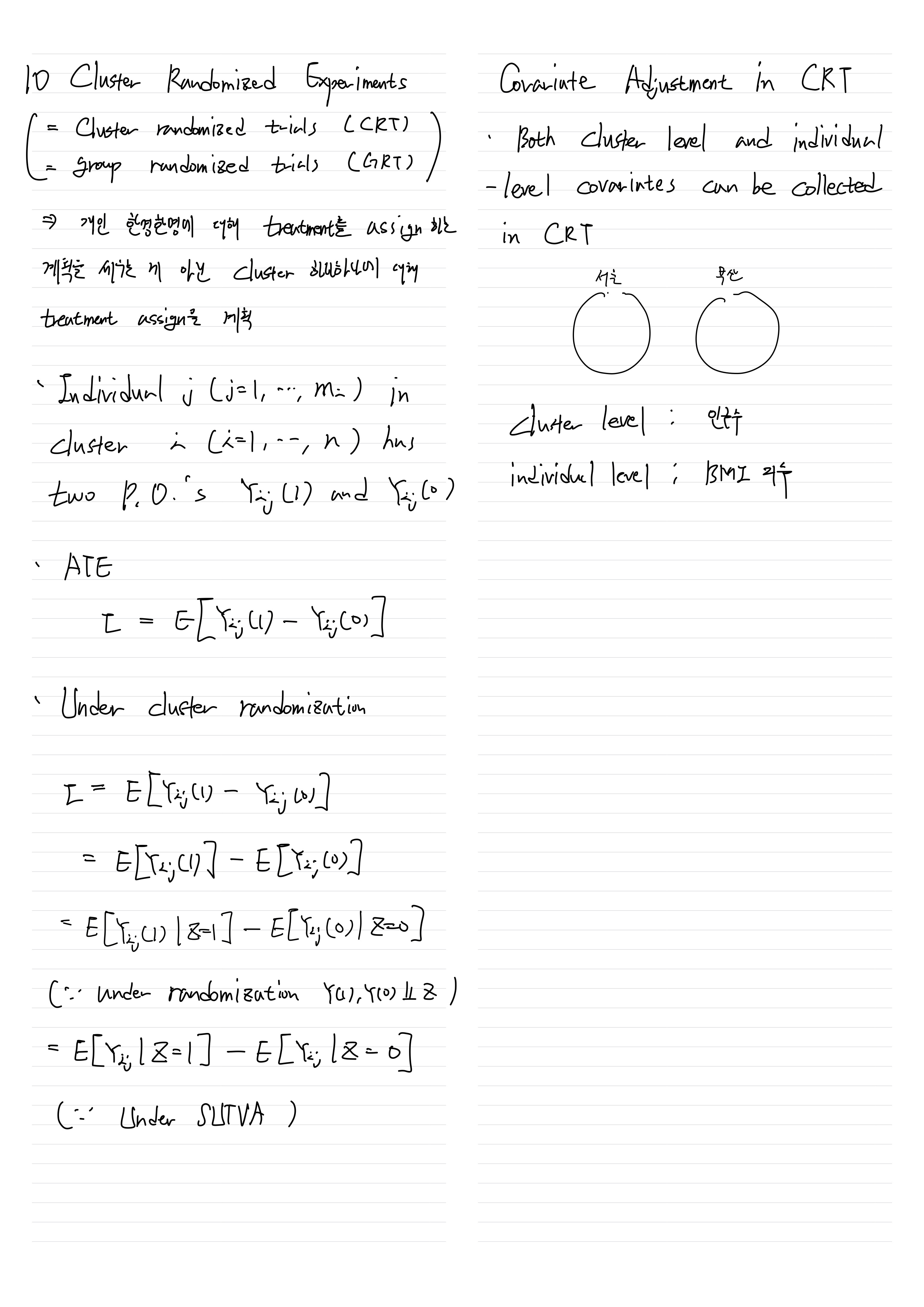
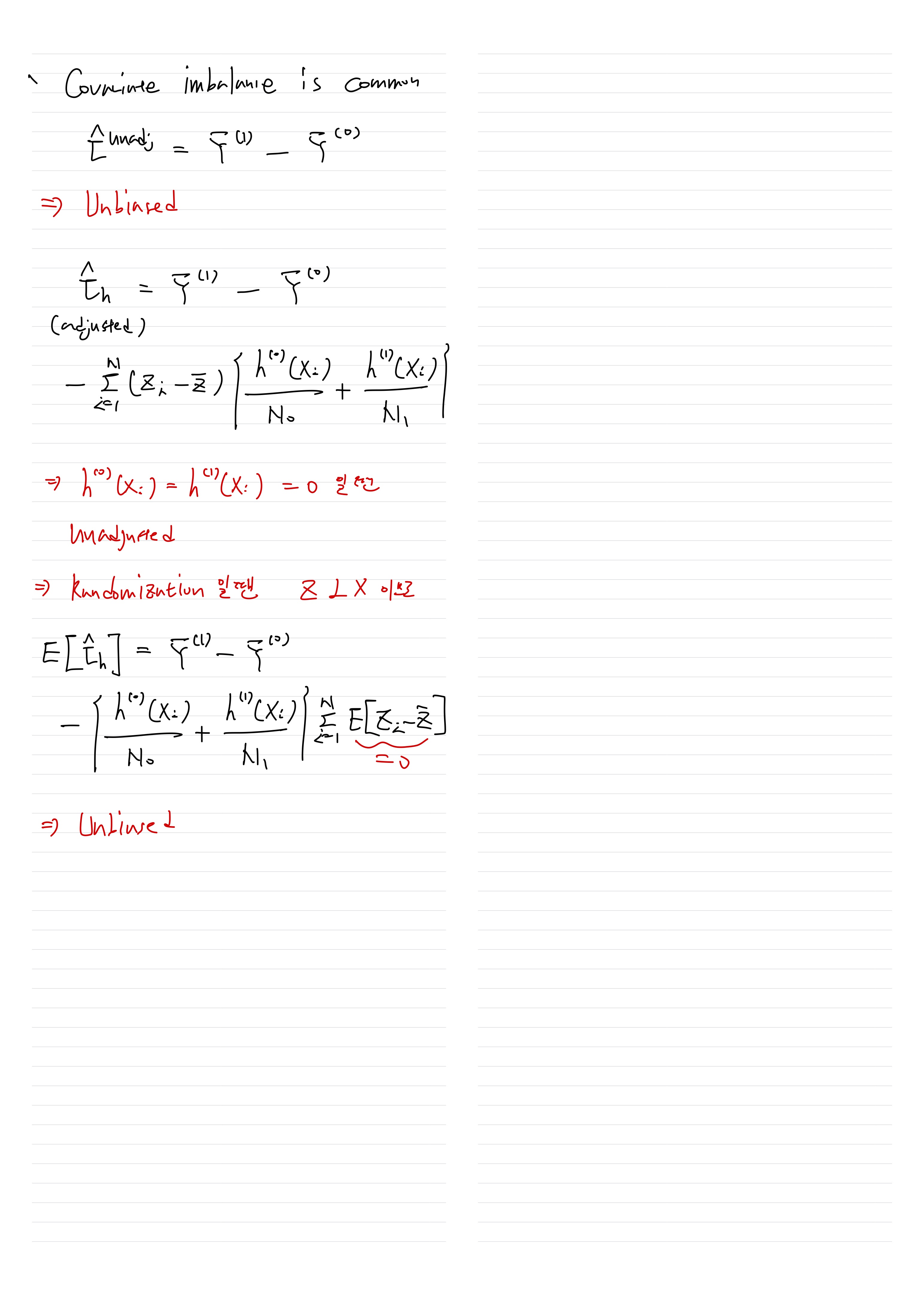
Chapter 3 - 2 : Randomized Experiments 본문










'Applied > Causal Inference' 카테고리의 다른 글
| Chapter 4 - 2 : Observational study (Outcome regression) (0) | 2024.04.13 |
|---|---|
| Chapter 4 - 1 : Observational study (Assumptions) (0) | 2024.04.13 |
| Chapter 3 - 1 : Randomized Experiments (0) | 2024.04.10 |
| Chapter 2 - 3 : Selection bias (0) | 2024.04.10 |
| Chapter 2 - 2 : Causal Estimands, Assignment mechanism (0) | 2024.04.10 |
Comments