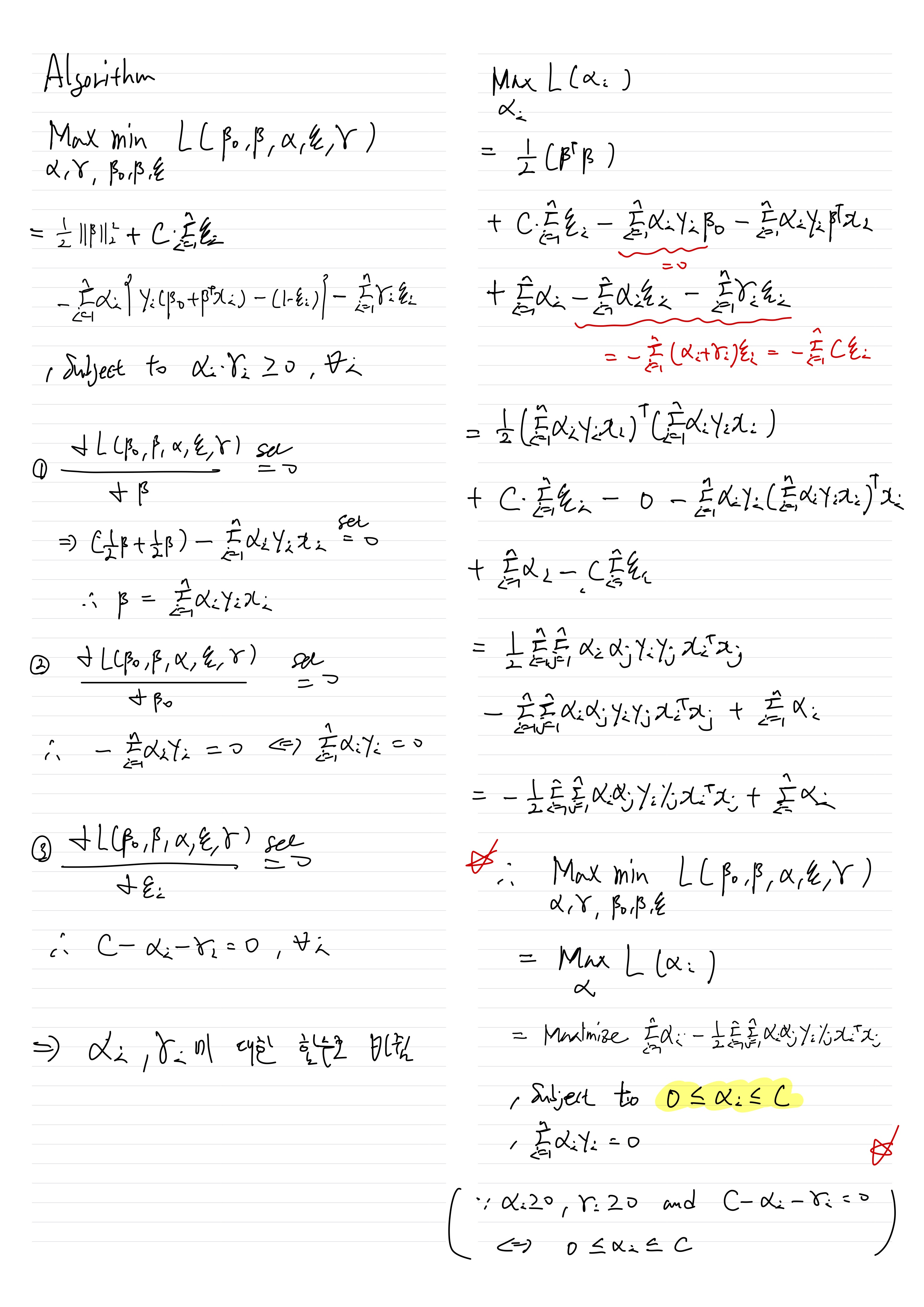
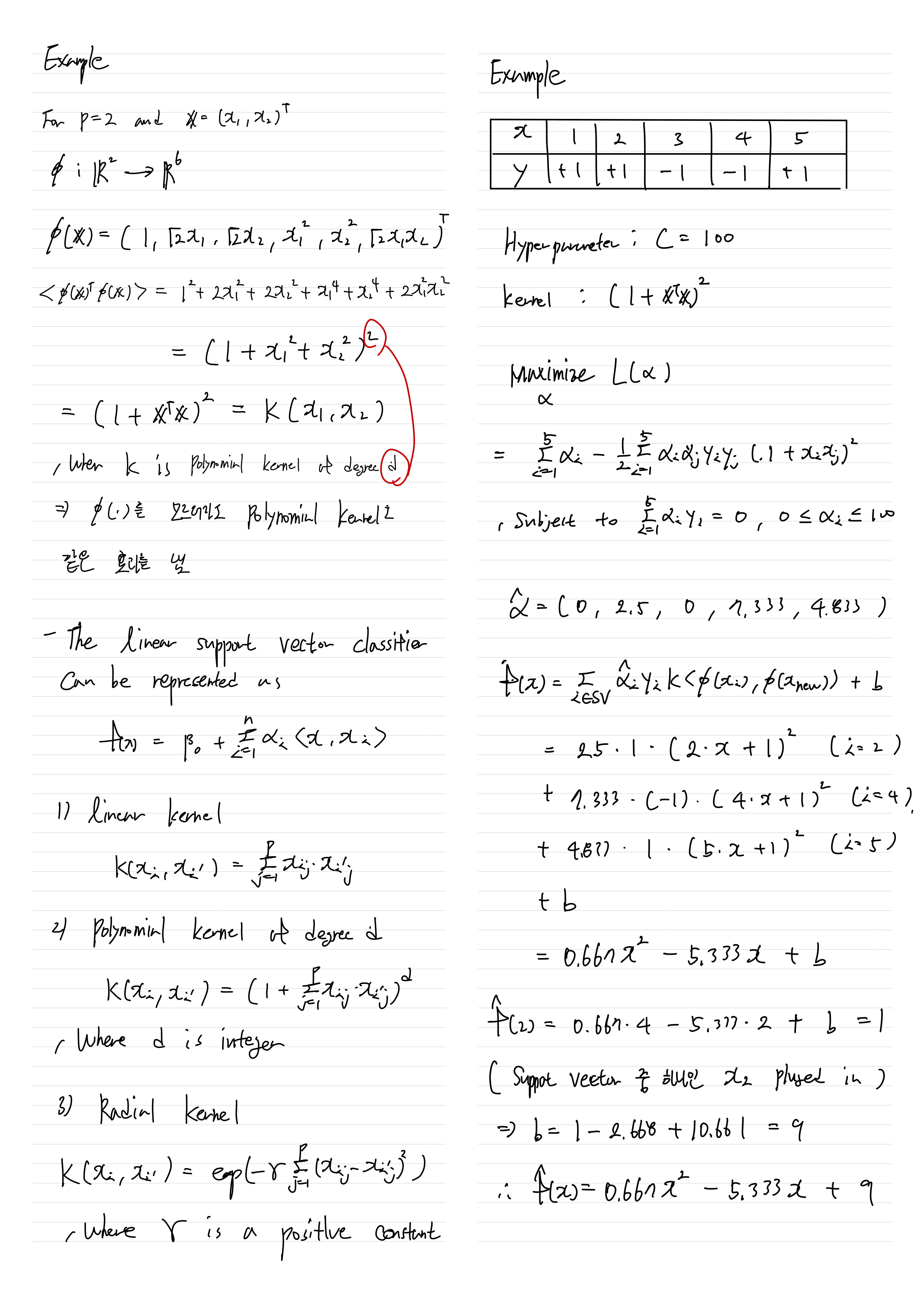
Chapter 7 - 2 : Support Vector Machine 본문






'Applied > Statistical Learning' 카테고리의 다른 글
| Chapter 8 - 2 : Bagging & Random Forests (0) | 2024.01.18 |
|---|---|
| Chapter 8 - 1 : Tree Based Methods (0) | 2024.01.17 |
| Chapter 7 - 1 : Support Vector Machine (0) | 2024.01.08 |
| ISL sol & ESL sol (0) | 2024.01.04 |
| 2. Linear Regression (0) | 2023.05.05 |
Comments