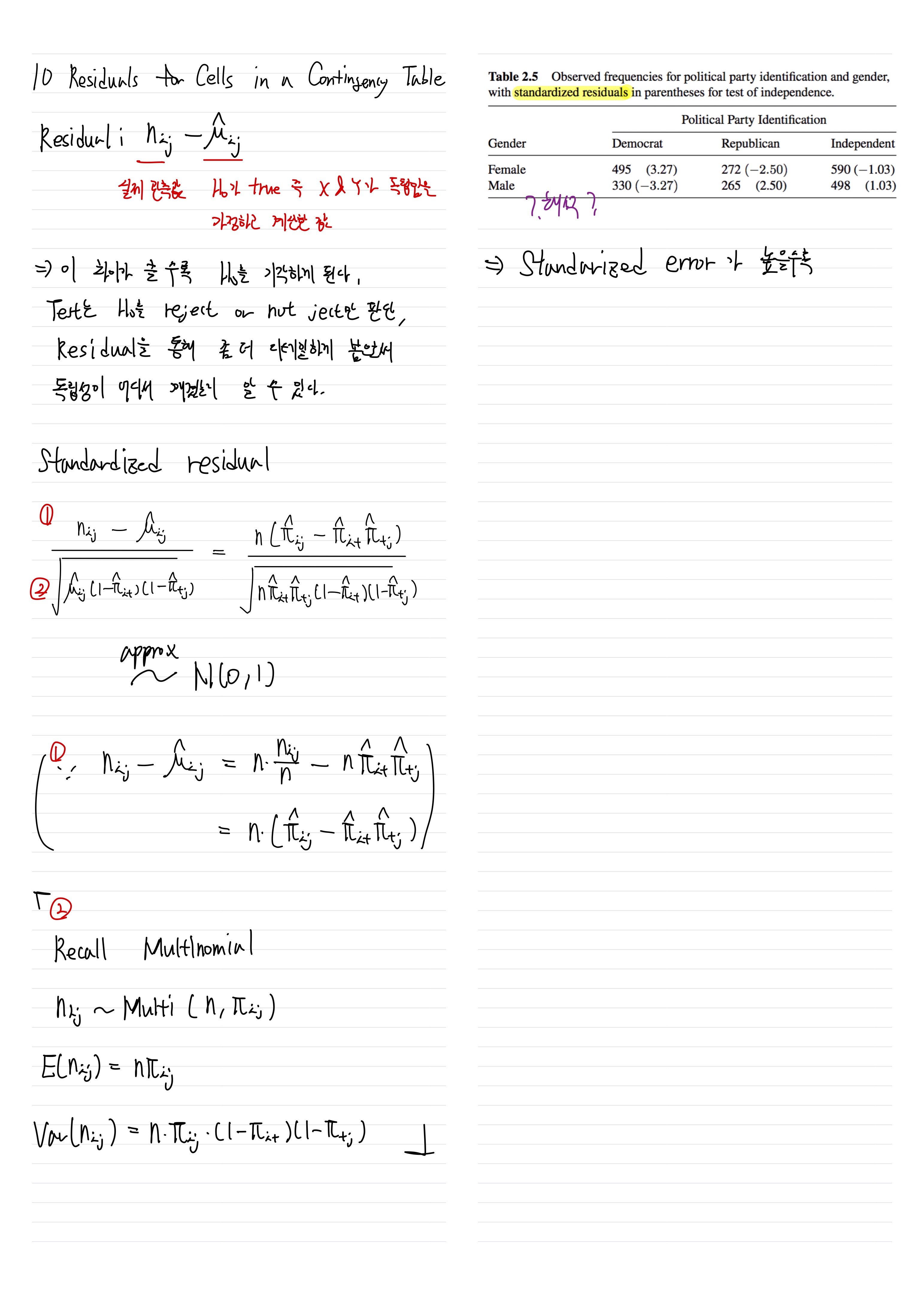
Chapter 2 - 2 Analyzing Contingency Tables - Test 본문
Applied/Categorical Data Analysis
Chapter 2 - 2 Analyzing Contingency Tables - Test
TaeTrix 2023. 9. 18. 22:36







'Applied > Categorical Data Analysis' 카테고리의 다른 글
| Fitting Generalized Linear Models - IRLS(=IWLS) Algorithm (0) | 2023.10.08 |
|---|---|
| Chapter 3 - 2 GLMs for Binary Data (0) | 2023.10.08 |
| Chapter 3 - 1 GLMs - Components of a GLM (0) | 2023.09.18 |
| Chapter 2 - 1 Analyzing Contingency Tables - Odds ratio (0) | 2023.09.07 |
| Chapter 1 - Introduction of Categorical Data Analysis (0) | 2023.09.04 |
Comments