Applied/Statistical Computing
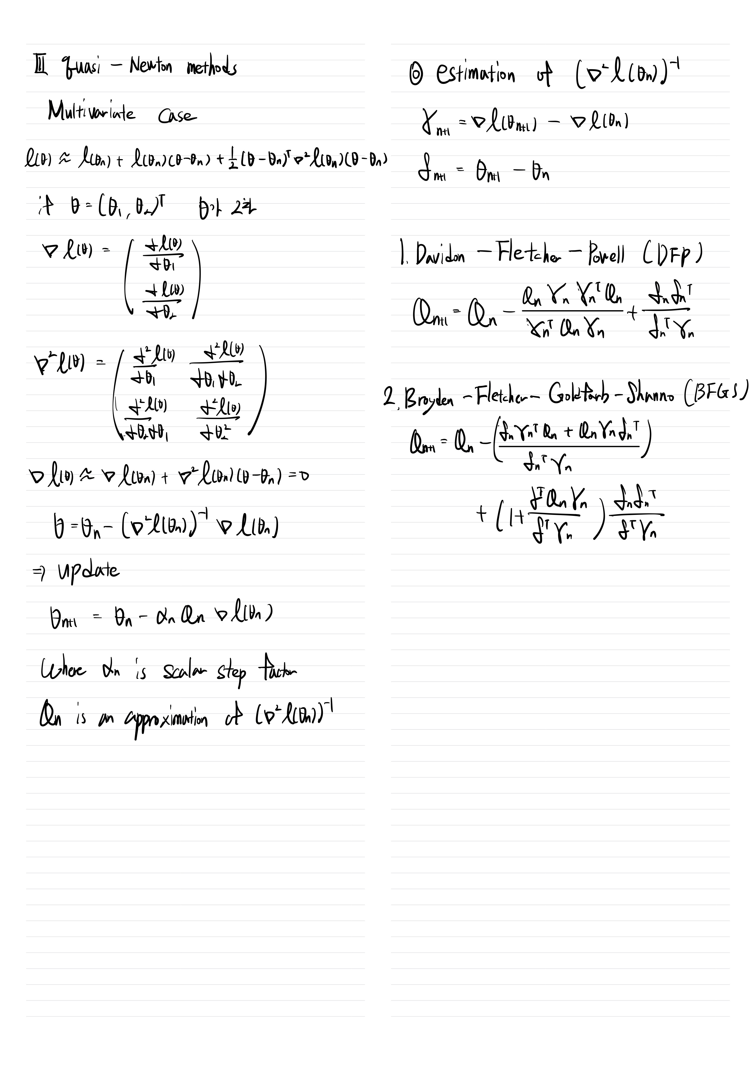
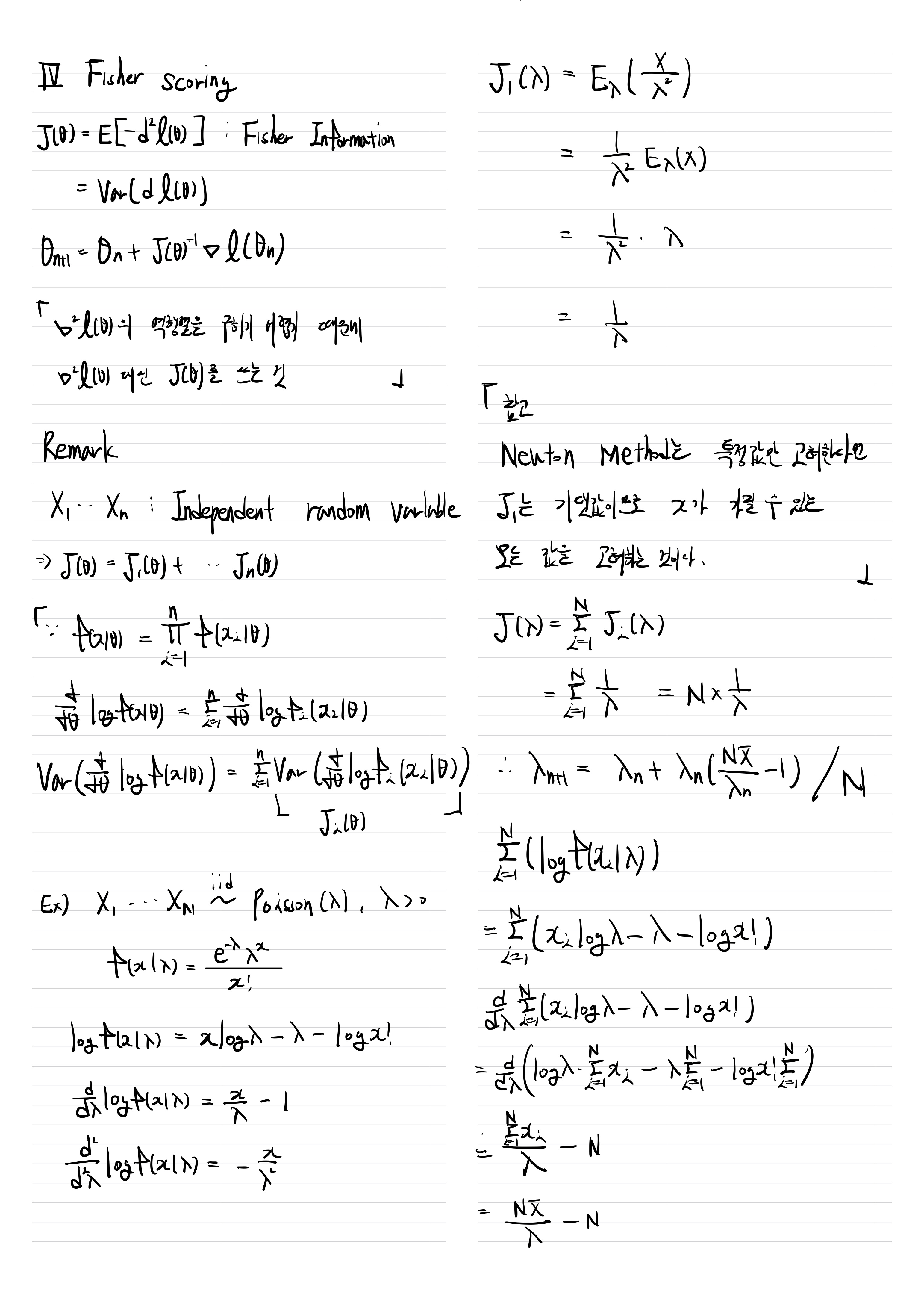
Chapter 14 - 1 ) Quasi-Newton Algorithm
TaeTrix
2022. 11. 18. 19:43


참고
1. EM
https://modern-manual.tistory.com/46
EM 알고리즘 예시로 쉽게 이해하기 (Expectation maximization, EM algorithm)
기댓값 최대화 알고리즘(expectation-maximization algorithm, EM algorithm)은 모수에 관한 추정 값으로 로그 가능도(log likelihood)의 기댓값을 계산하는 기댓값 (E) 단계와 이 기댓값을 최대화하는 모수 추정값
modern-manual.tistory.com
2. multinomial distribution
http://faculty.washington.edu/yenchic/20A_stat512/Lec7_Multinomial.pdf