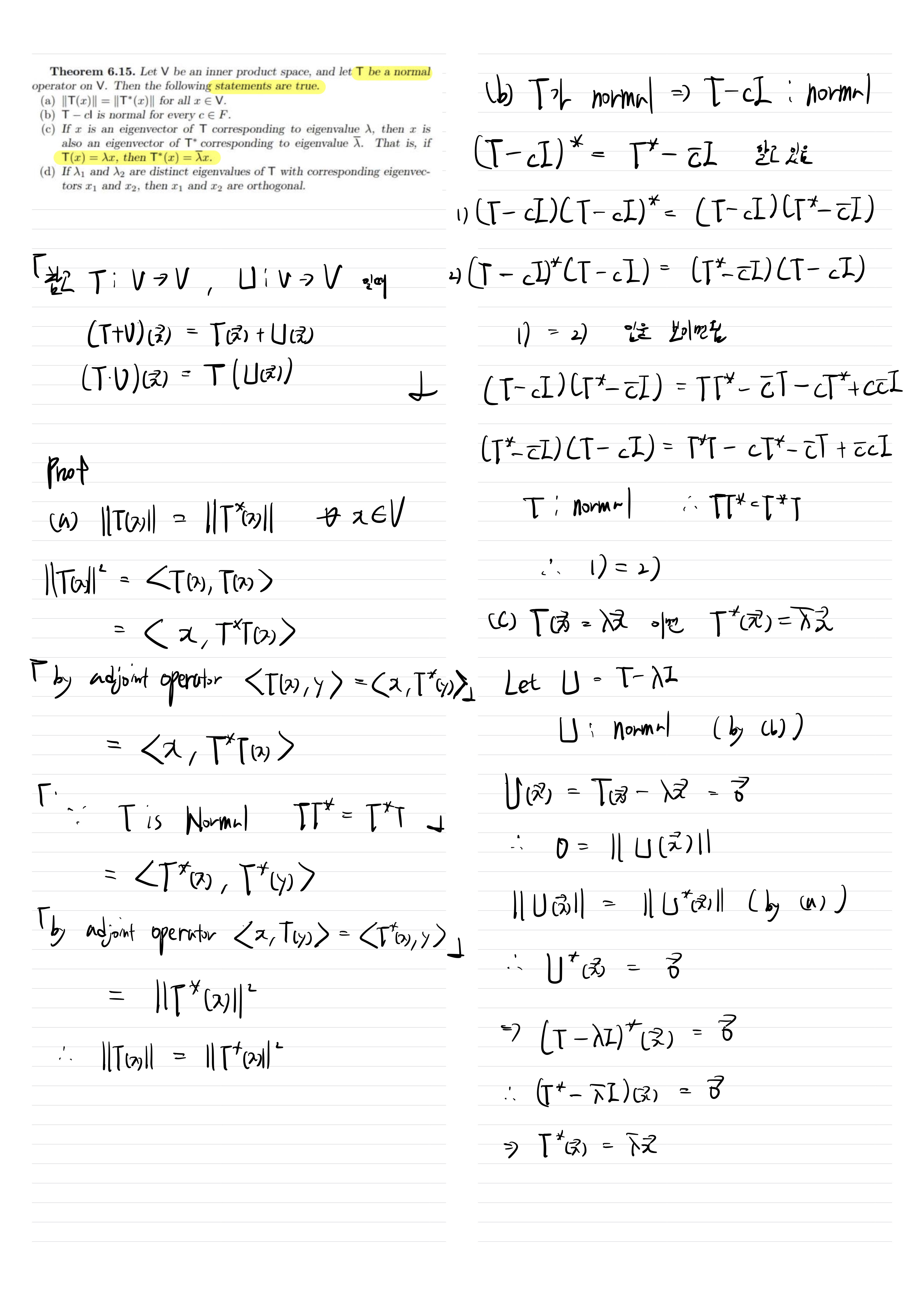
Fundamental/Linear Algebra

Sec 6.4) Normal Operator and Self-Adjoint Operator

TaeTrix 2022. 11. 13. 23:00