Fundamental/Linear Algebra

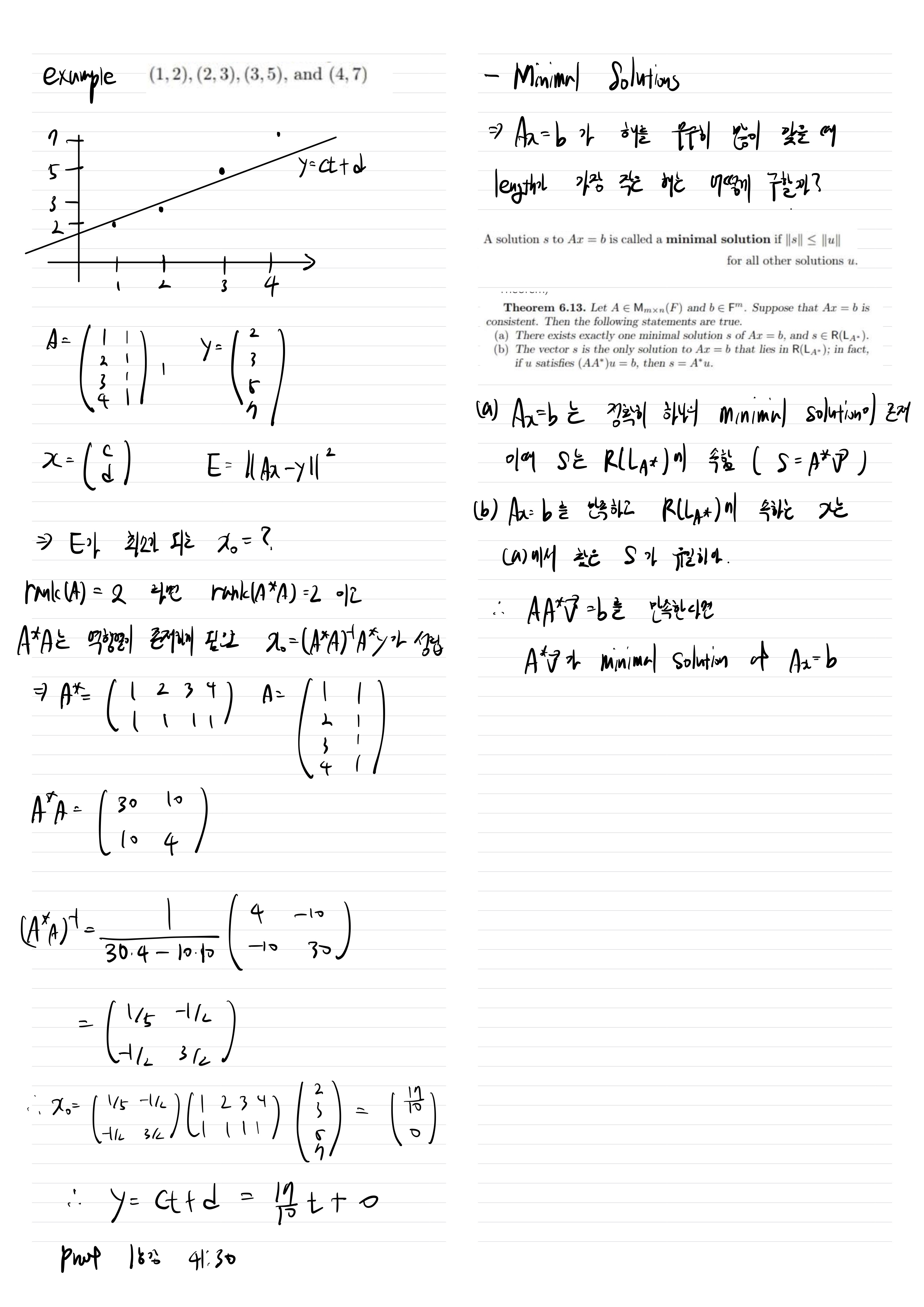
Sec 6.3 - 2) Least square Approximation

TaeTrix 2022. 11. 13. 22:59