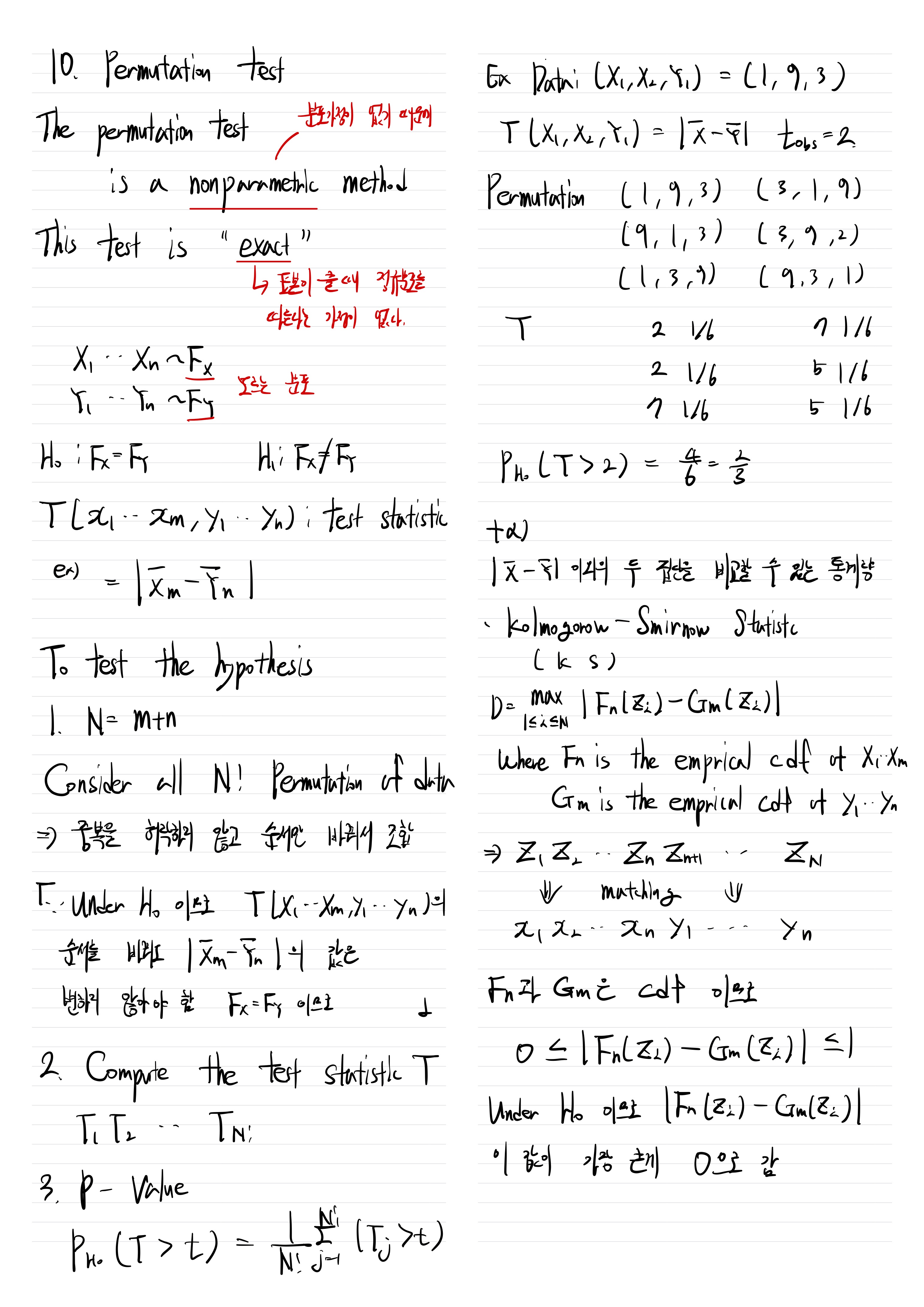
Applied/Statistical Computing
Simple Linear Regression and Permutation Test
TaeTrix
2022. 11. 4. 01:00



참고 : permutation test https://www.jwilber.me/permutationtest/
Permutation Test: Visual Explanation
You've finally achieved your lifelong dream: you're an alpaca shepherd. And like any alpaca shepherd will tell you, your foremost concern is the wool quality of your herd.*this may or may not be true Word on the street in Cusco is that a popular new shampo
www.jwilber.me