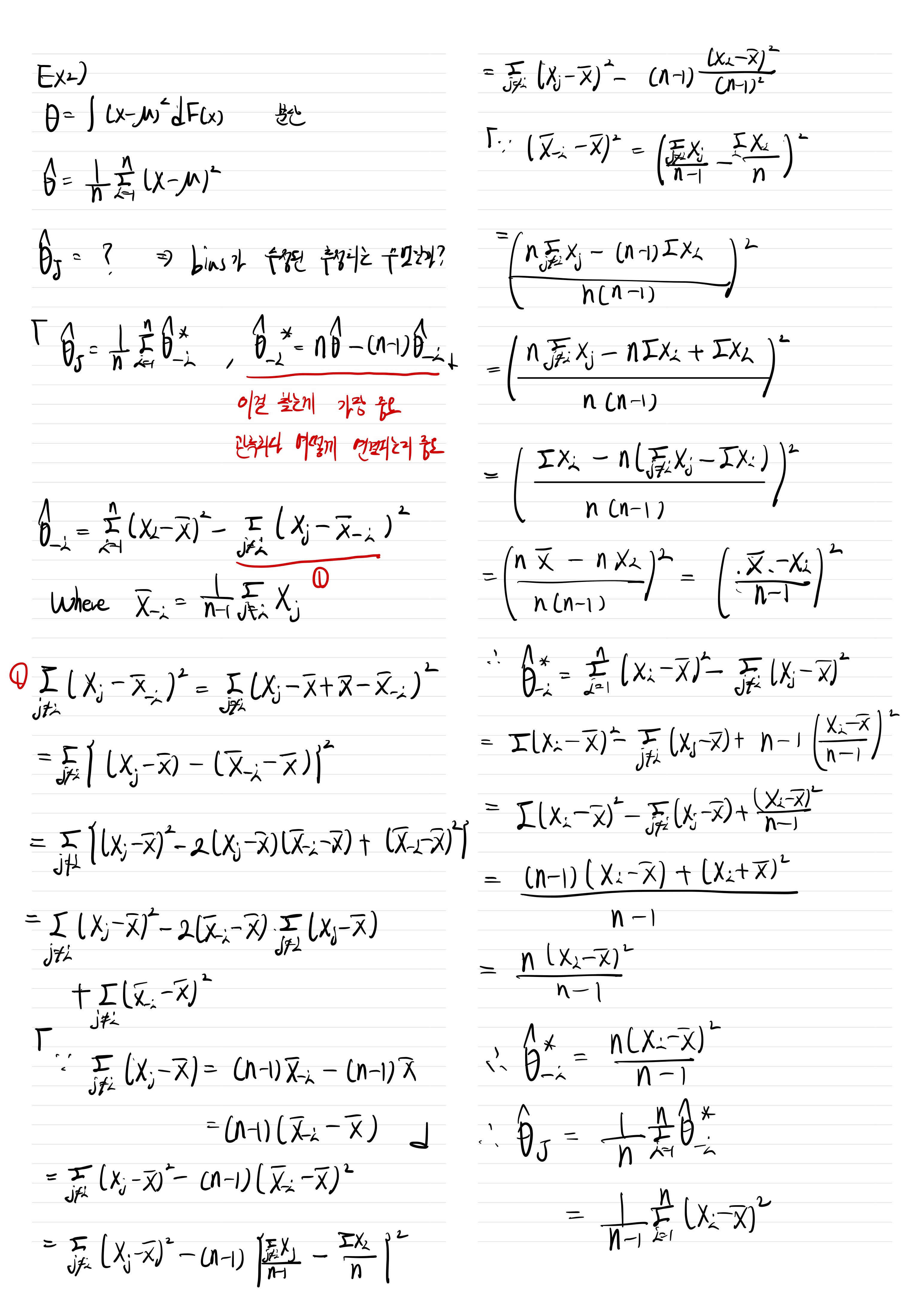
Applied/Statistical Computing

The Jackknife

TaeTrix 2022. 11. 3. 01:58