Fundamental/Linear Regression

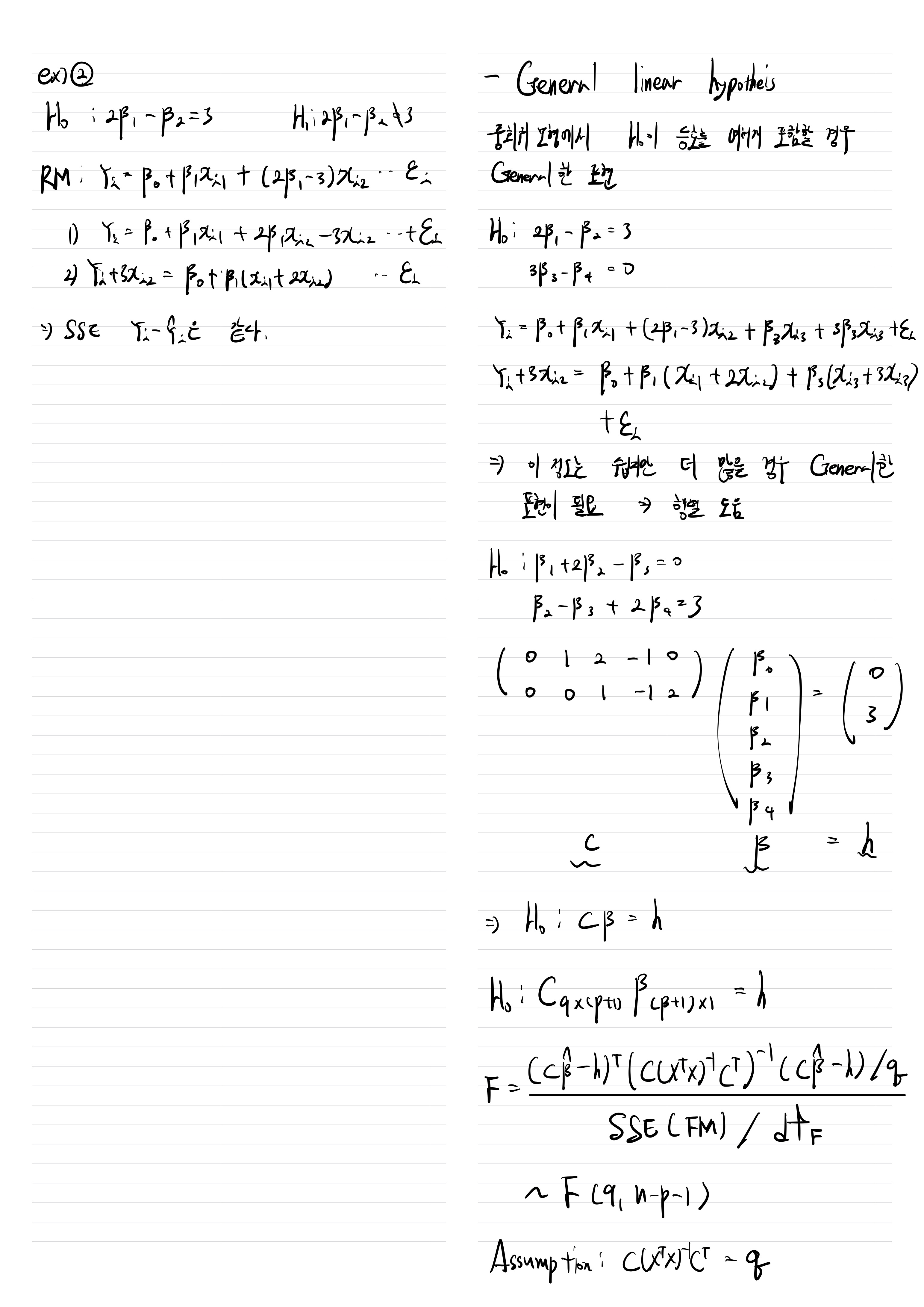
Dropping one or more variables and General linear hypotheis

TaeTrix 2022. 10. 31. 02:20