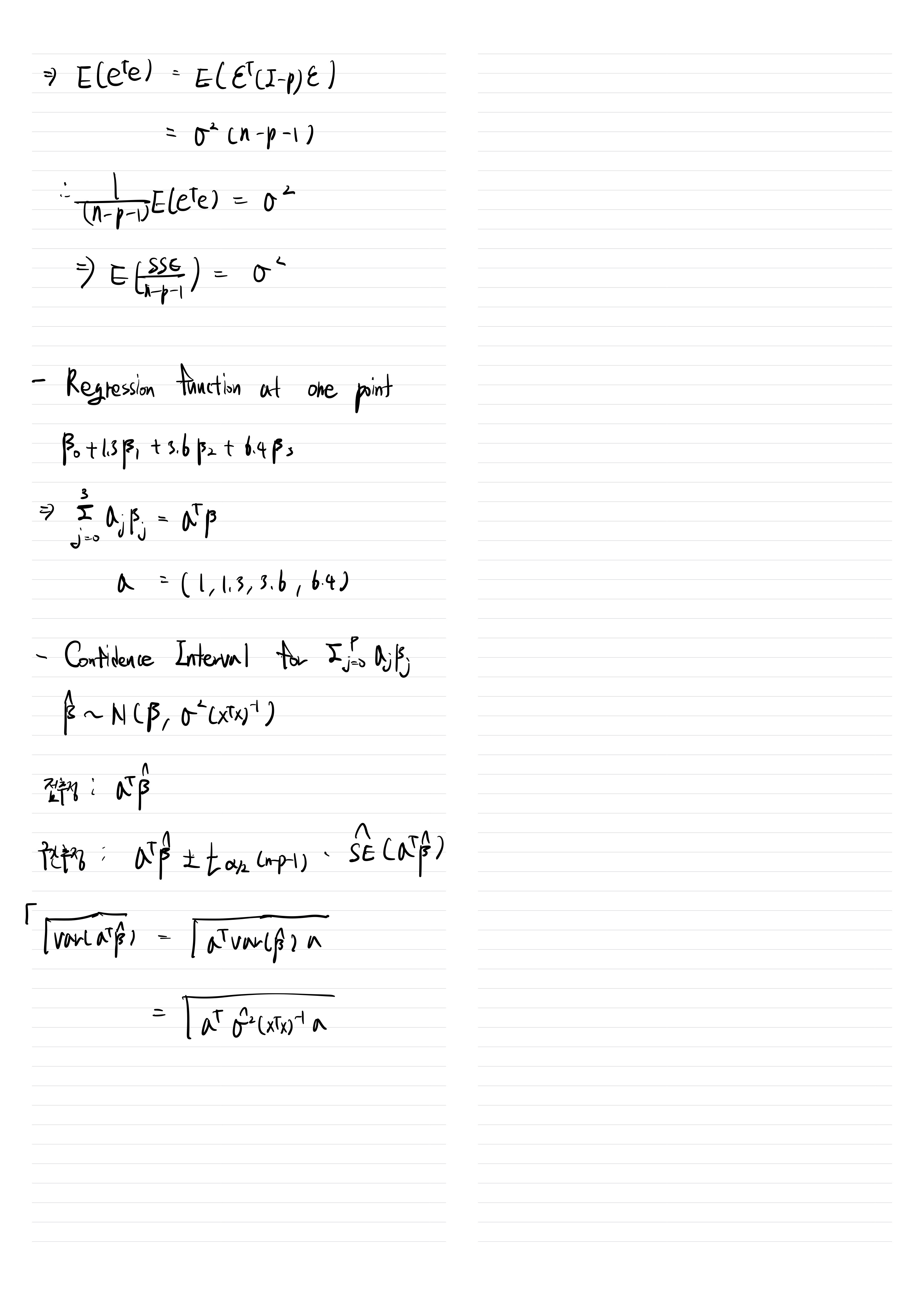
Fundamental/Linear Regression

σ hat Induction and Bonferroni correction

TaeTrix 2022. 10. 30. 20:31