Fundamental/Elementary Stat

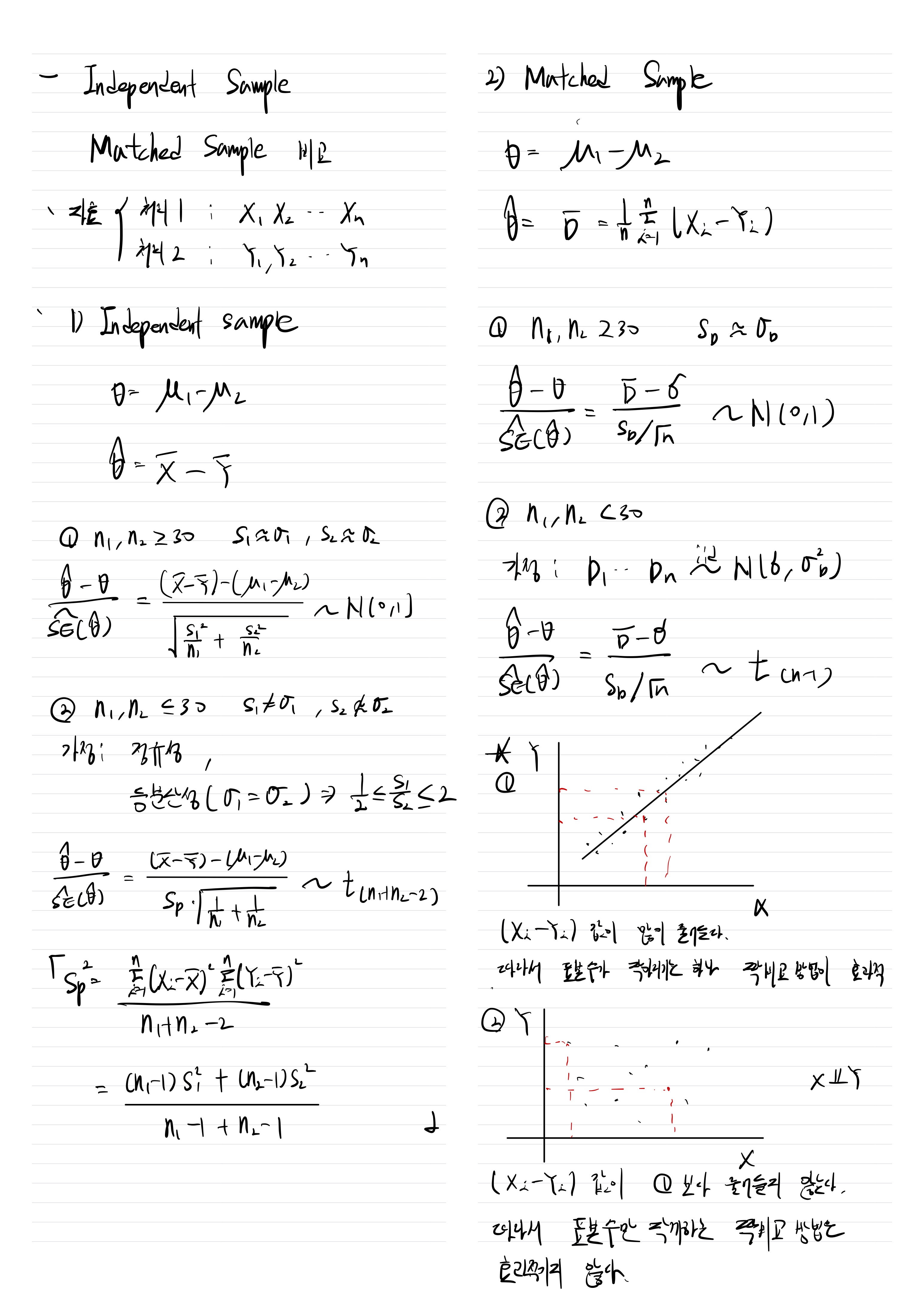
두 모집단의 비교(Independent sample과 matched sample차이)

TaeTrix 2022. 10. 11. 20:09