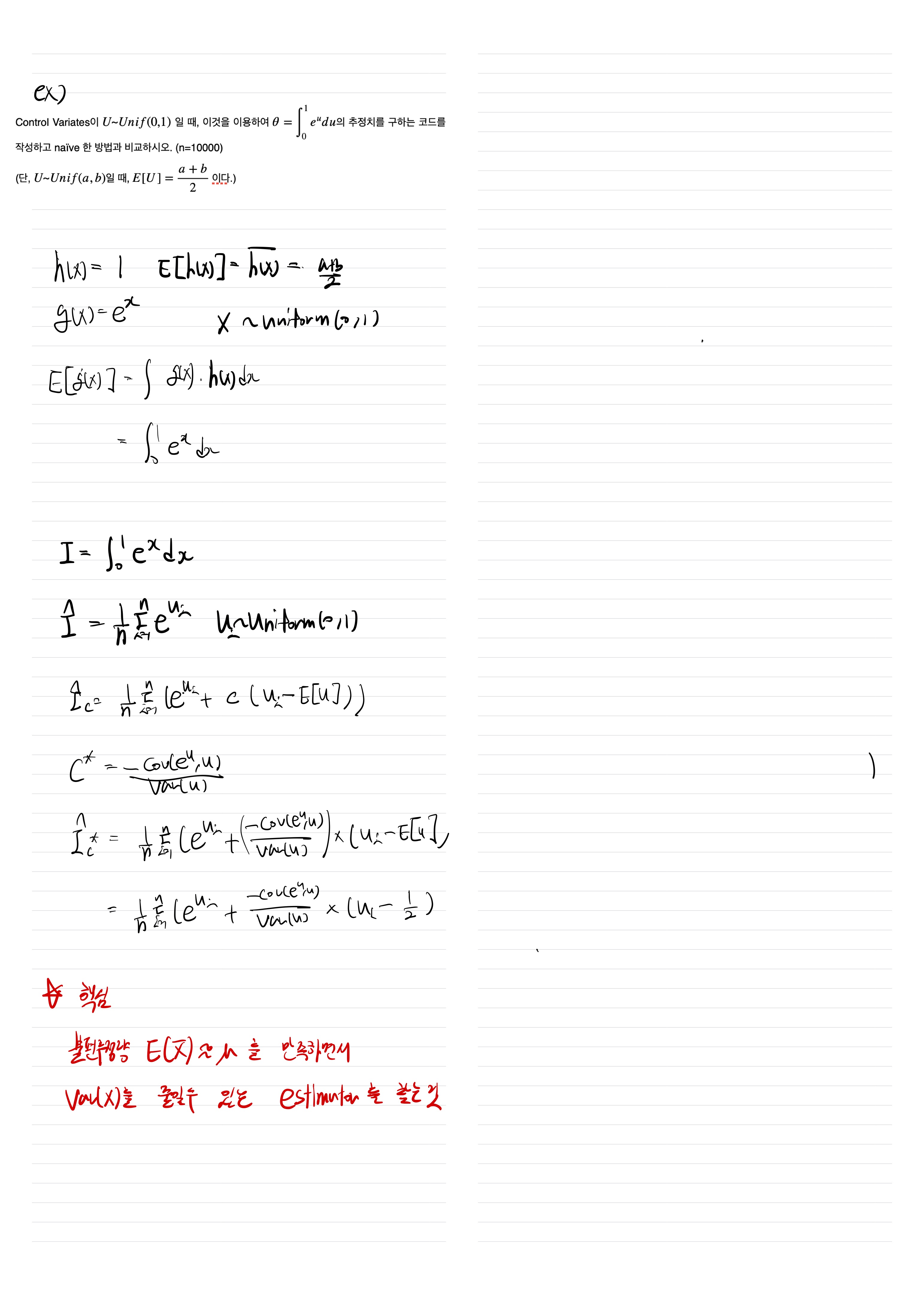
Applied/Statistical Computing

Variance Reduction - Control Variate

TaeTrix 2022. 10. 10. 23:31