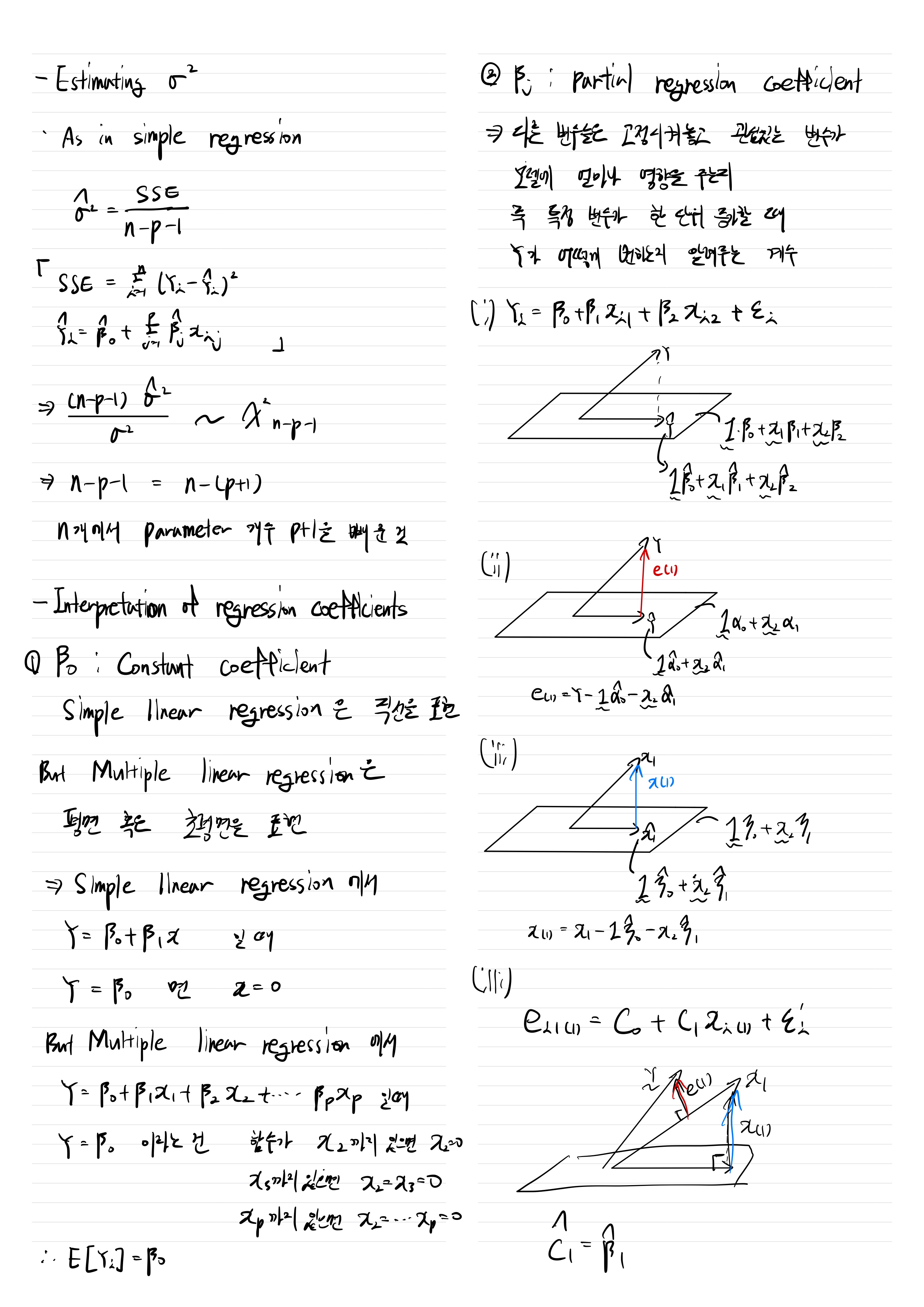
Fundamental/Linear Regression

Multiple linear regression

TaeTrix 2022. 10. 6. 18:05