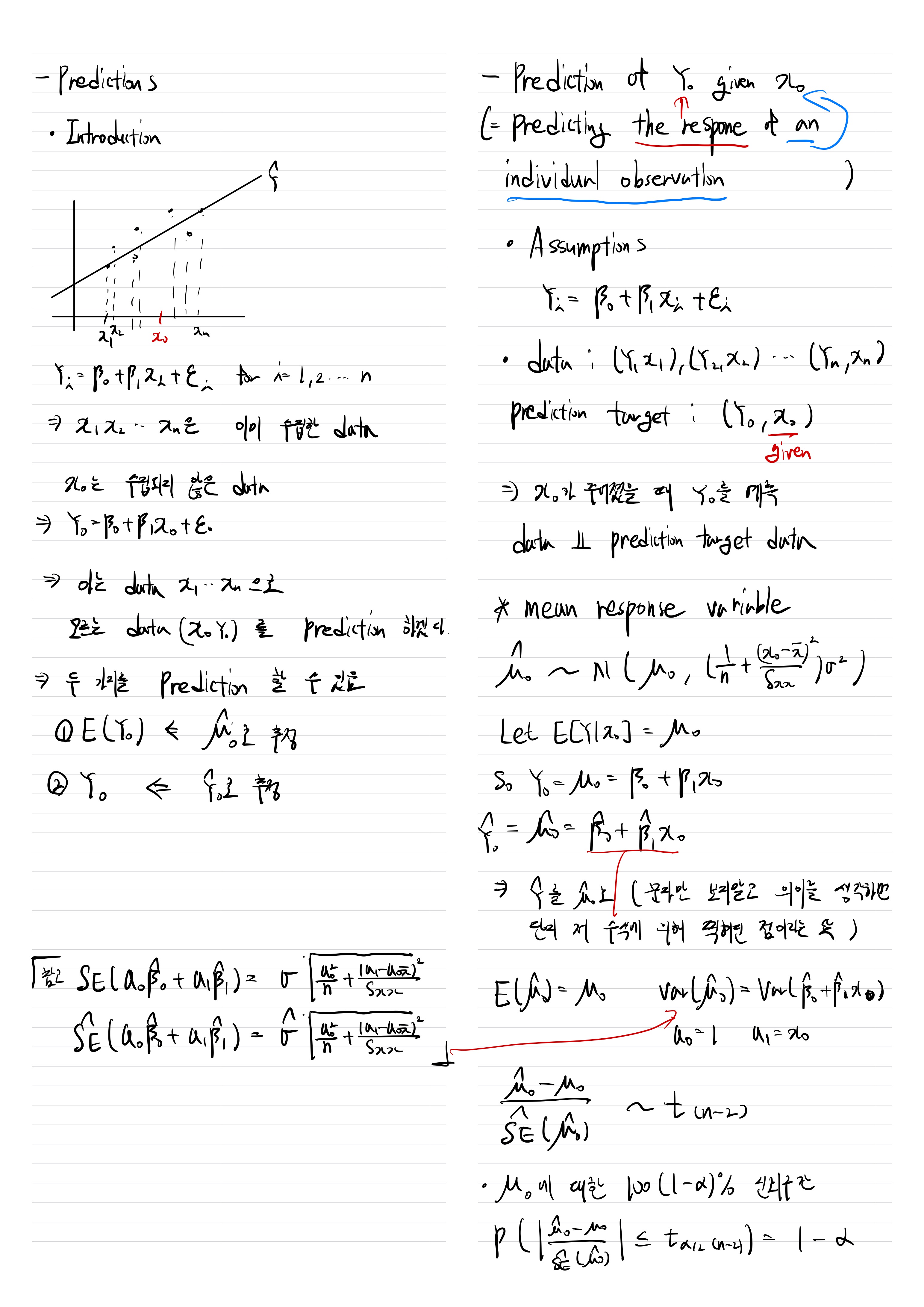
Fundamental/Linear Regression

Predictions

TaeTrix 2022. 9. 27. 01:38