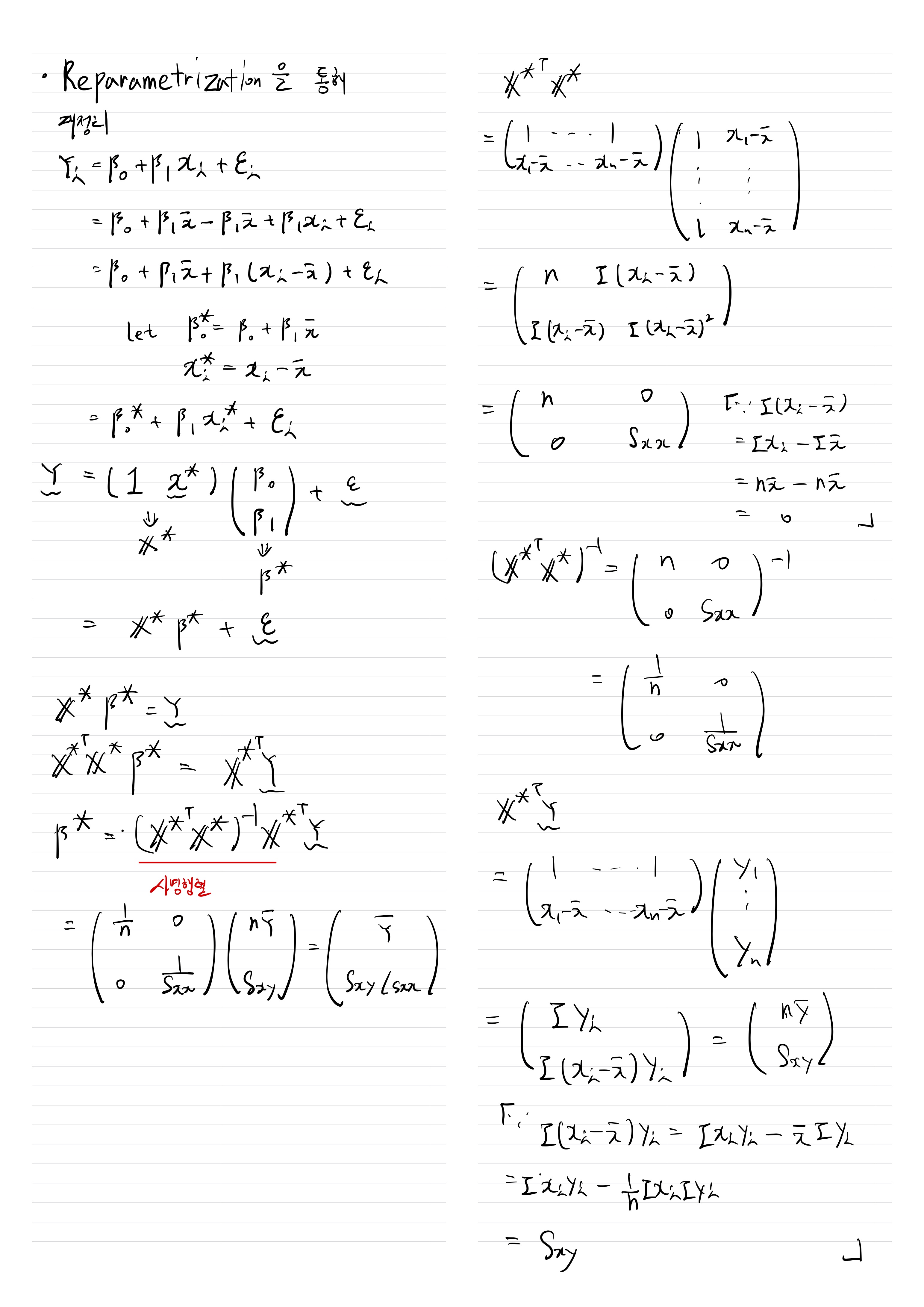
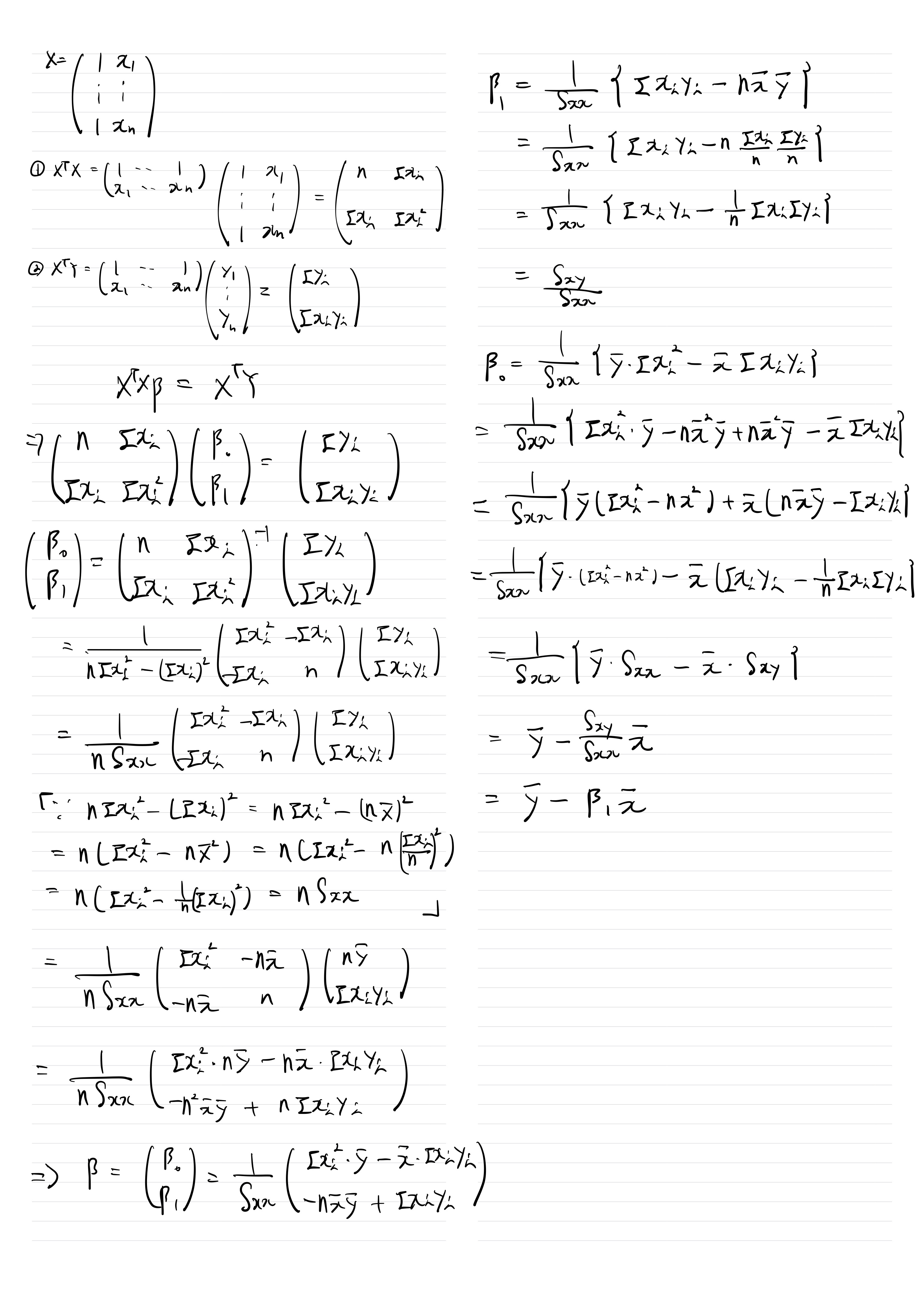
Fundamental/Linear Regression

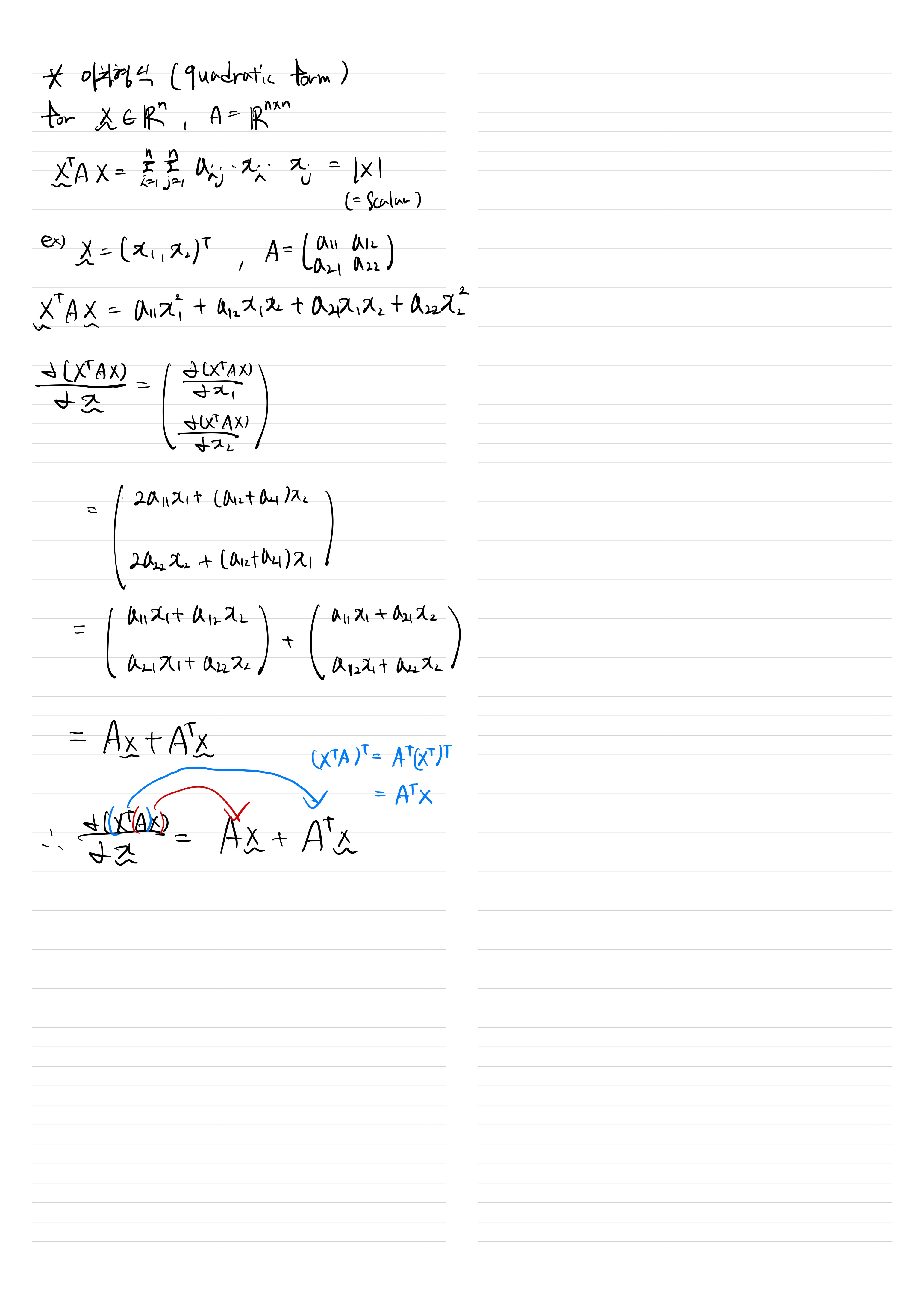
Estimation - 2 (벡터미분)

TaeTrix 2022. 9. 14. 23:44