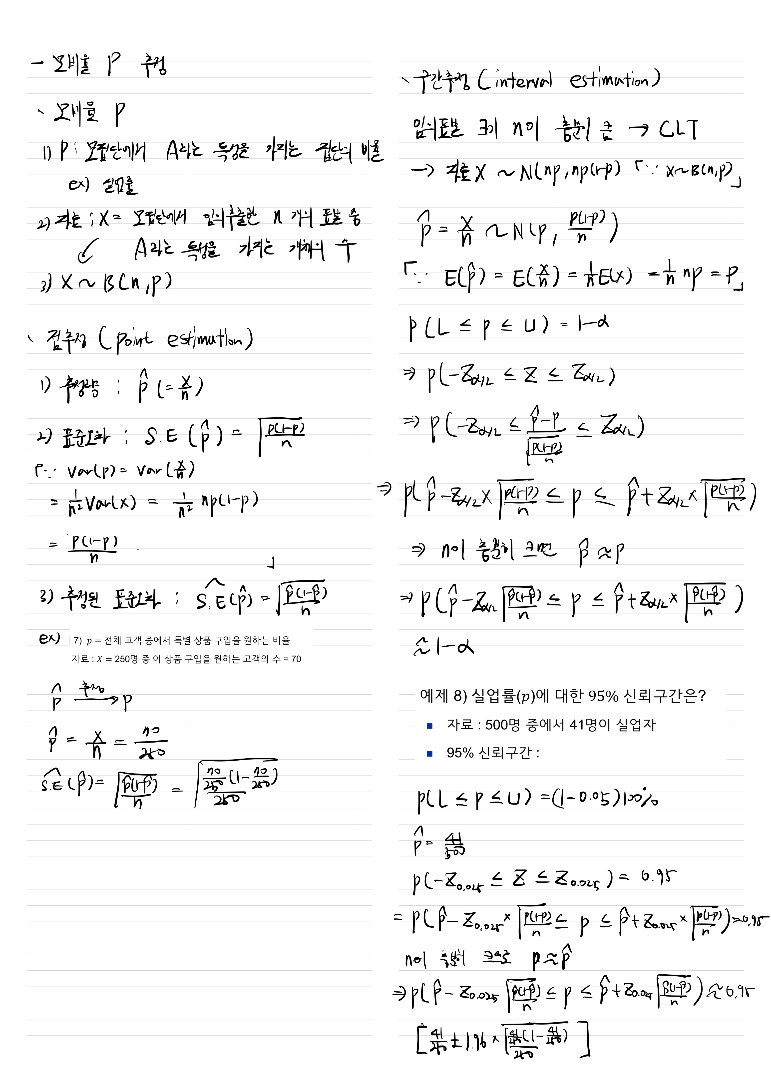
Fundamental/Elementary Stat

Estimating Population Ratio

TaeTrix 2022. 9. 13. 21:24