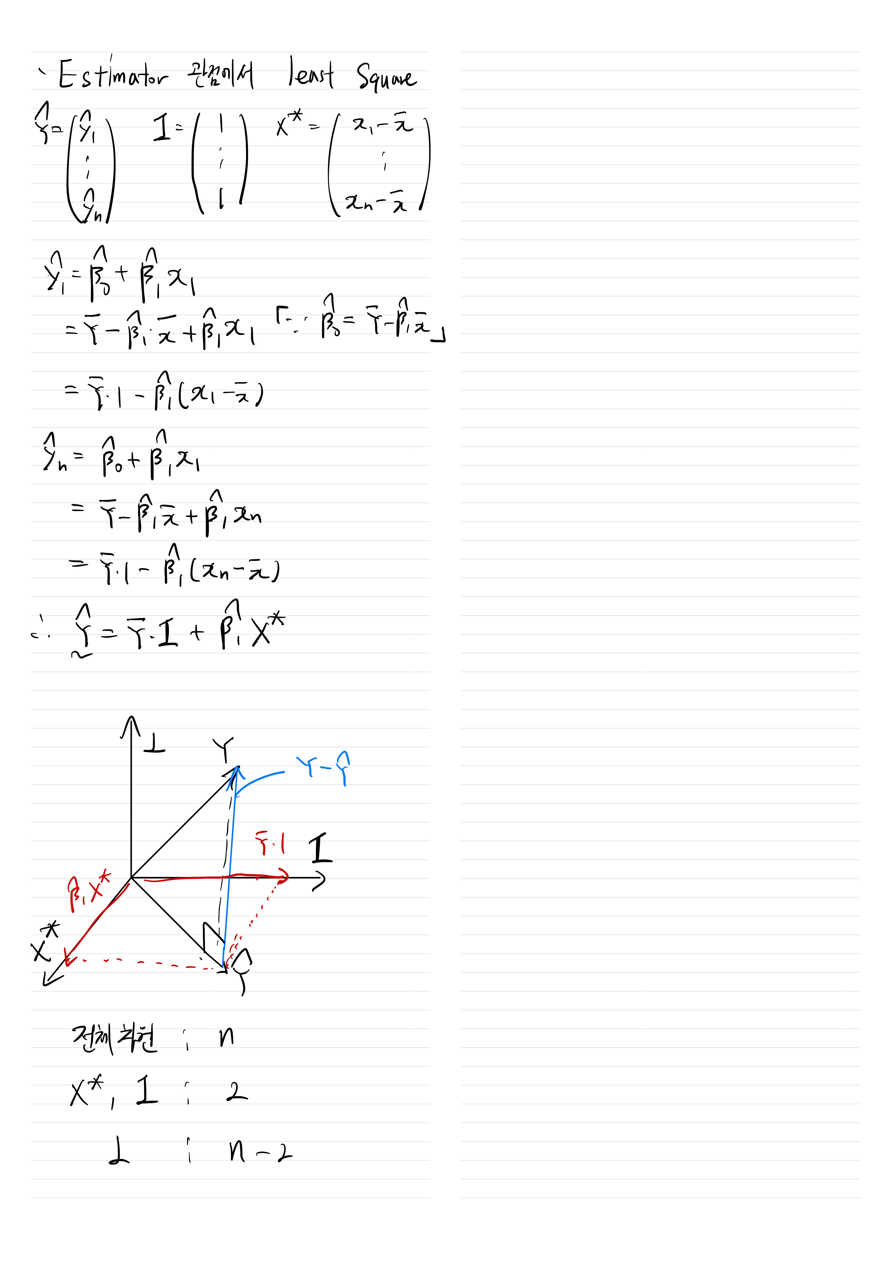
Fundamental/Linear Regression

Estimation - 1 (편미분)

TaeTrix 2022. 9. 8. 02:30