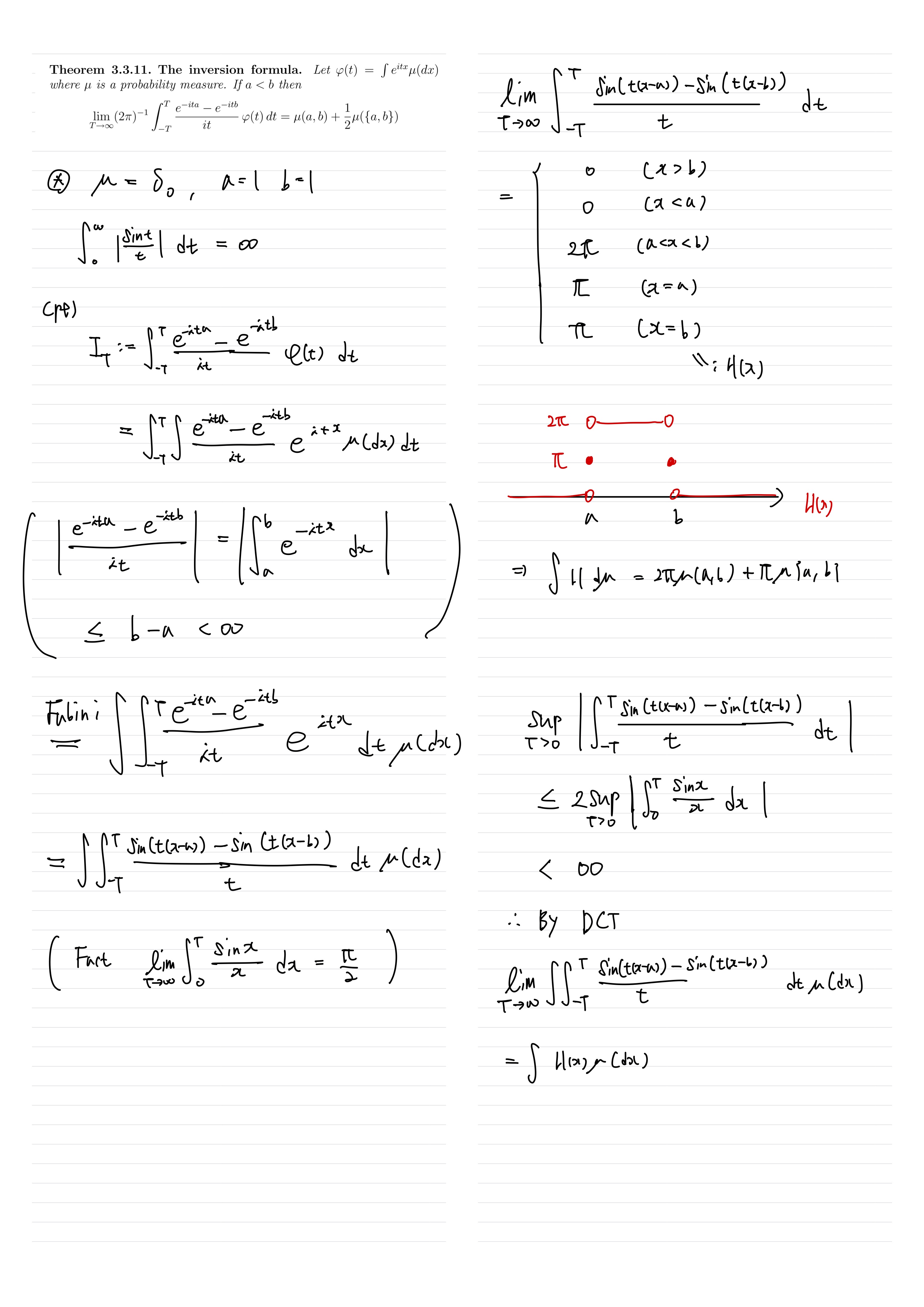
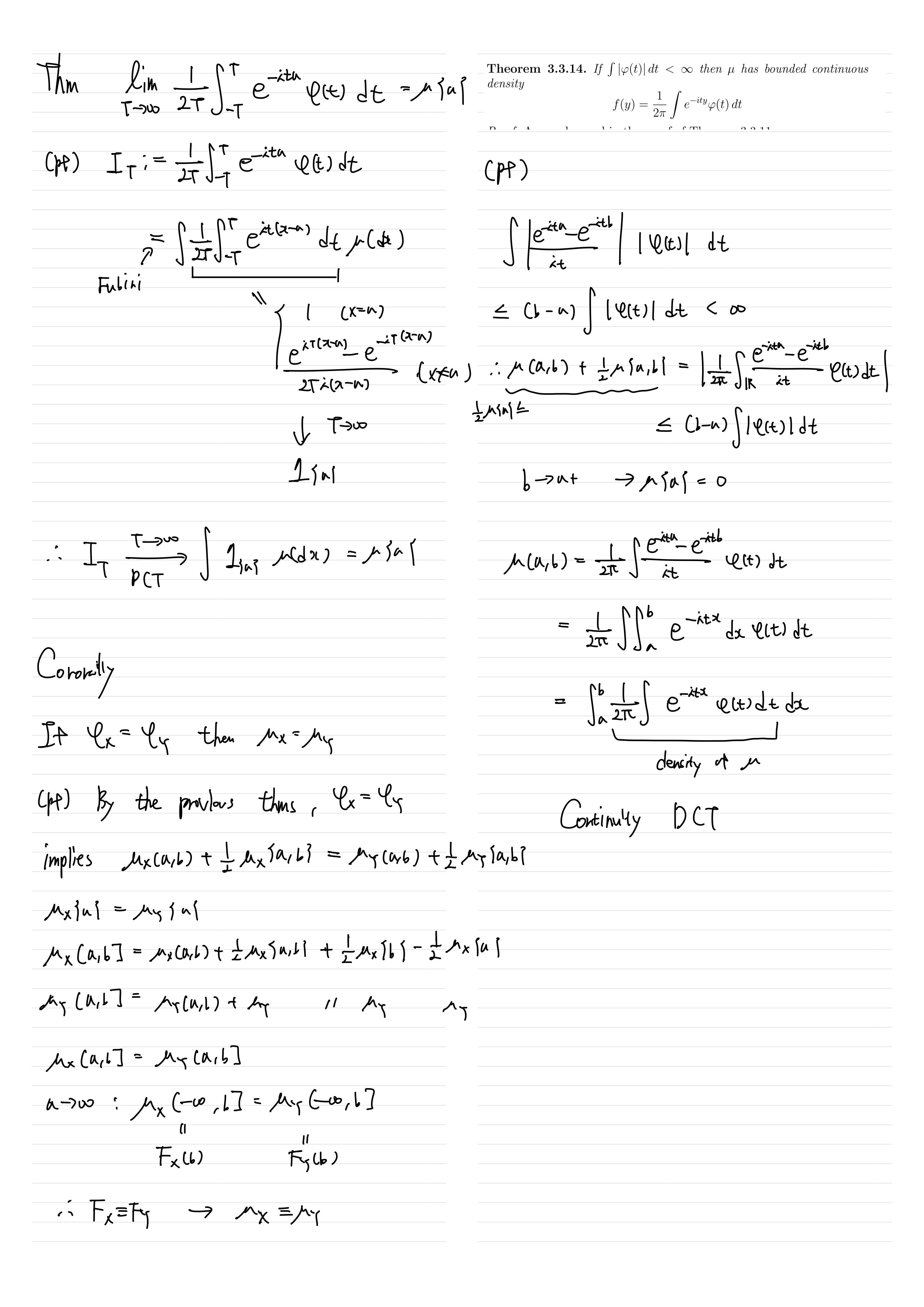
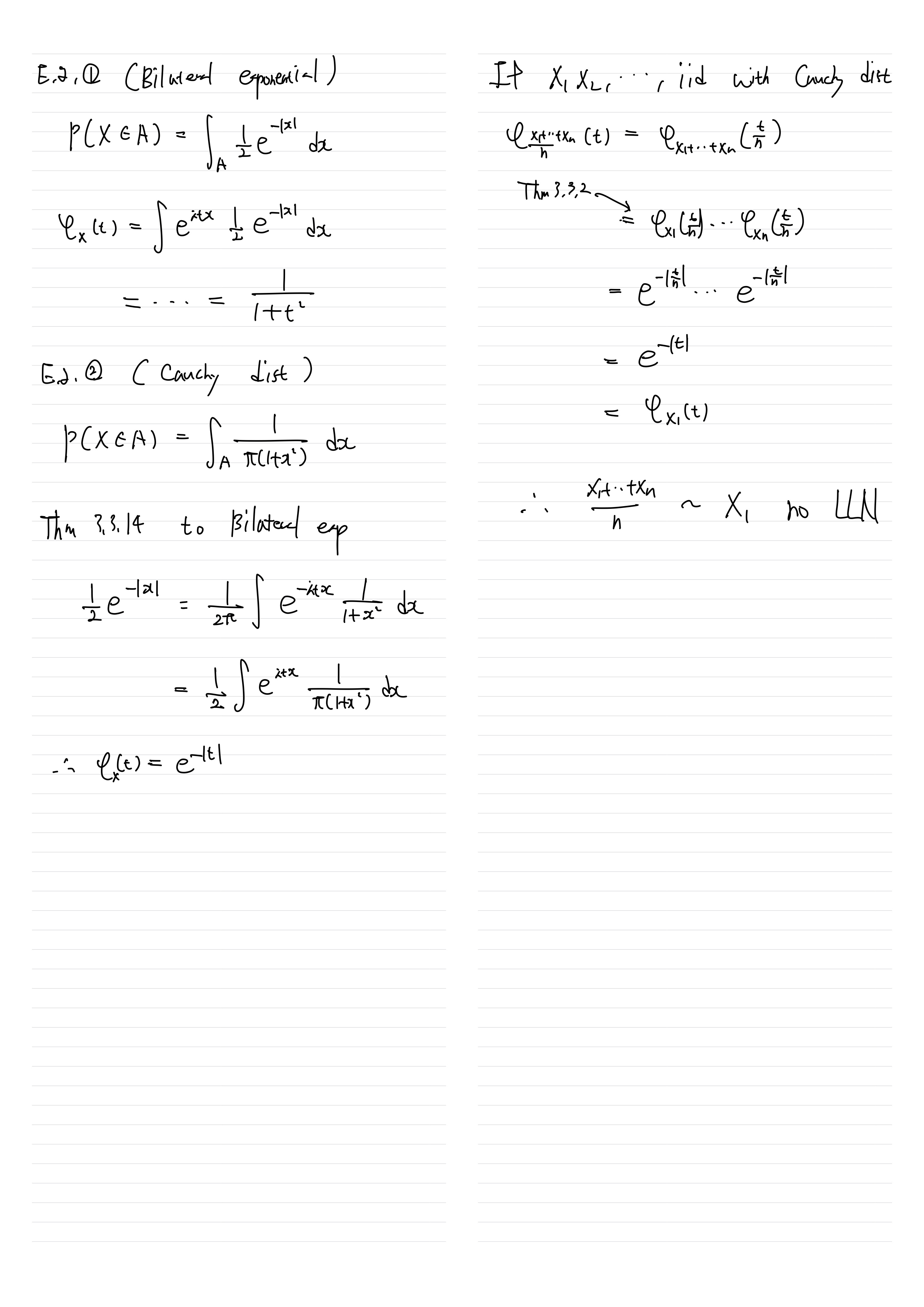
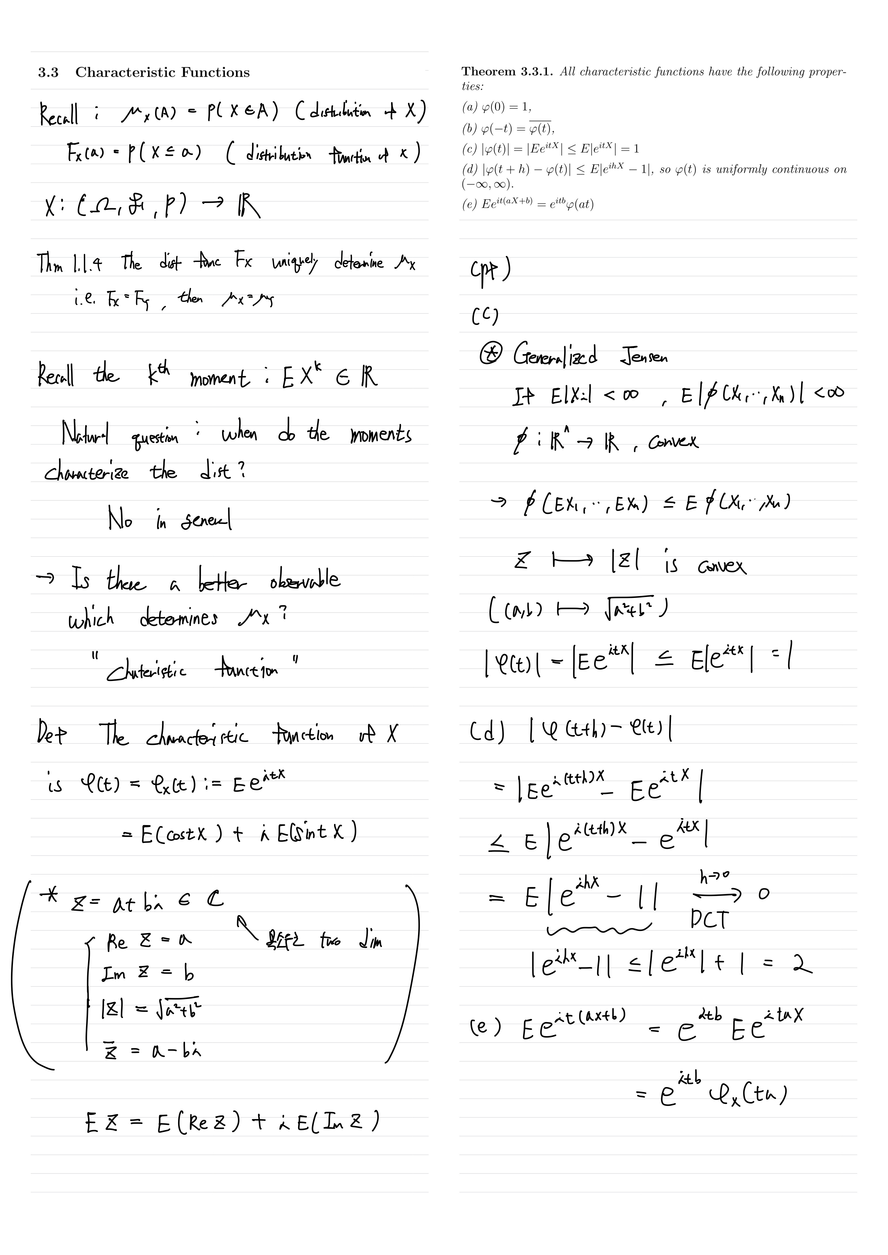
Fundamental/Probability Theroy

Chapter 3-3 Characteristic Functions

TaeTrix 2024. 10. 26. 17:17