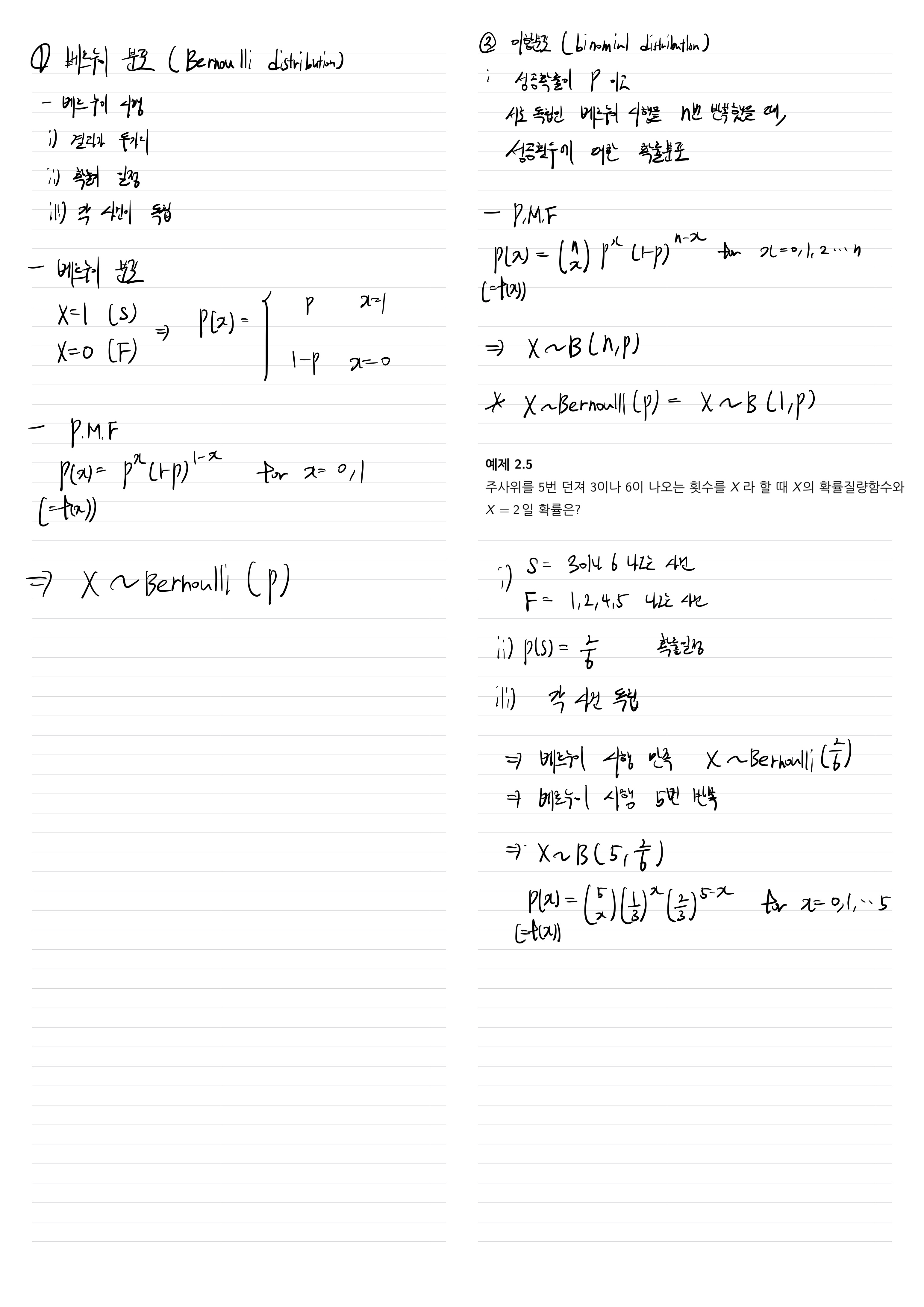
Fundamental/Mathematical Stat

2. 이산확률변수와 이산확률분포

TaeTrix 2022. 7. 28. 21:41