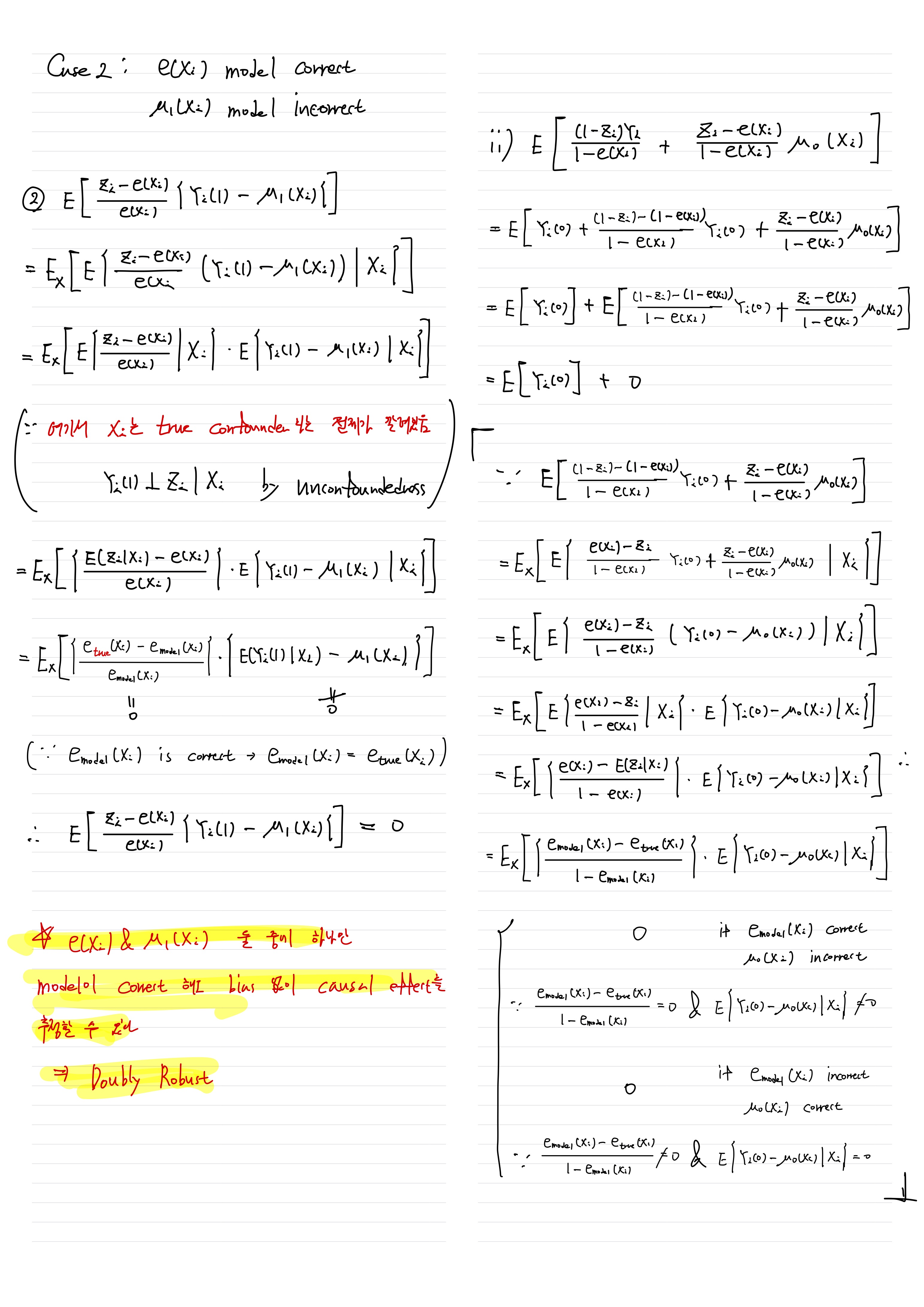
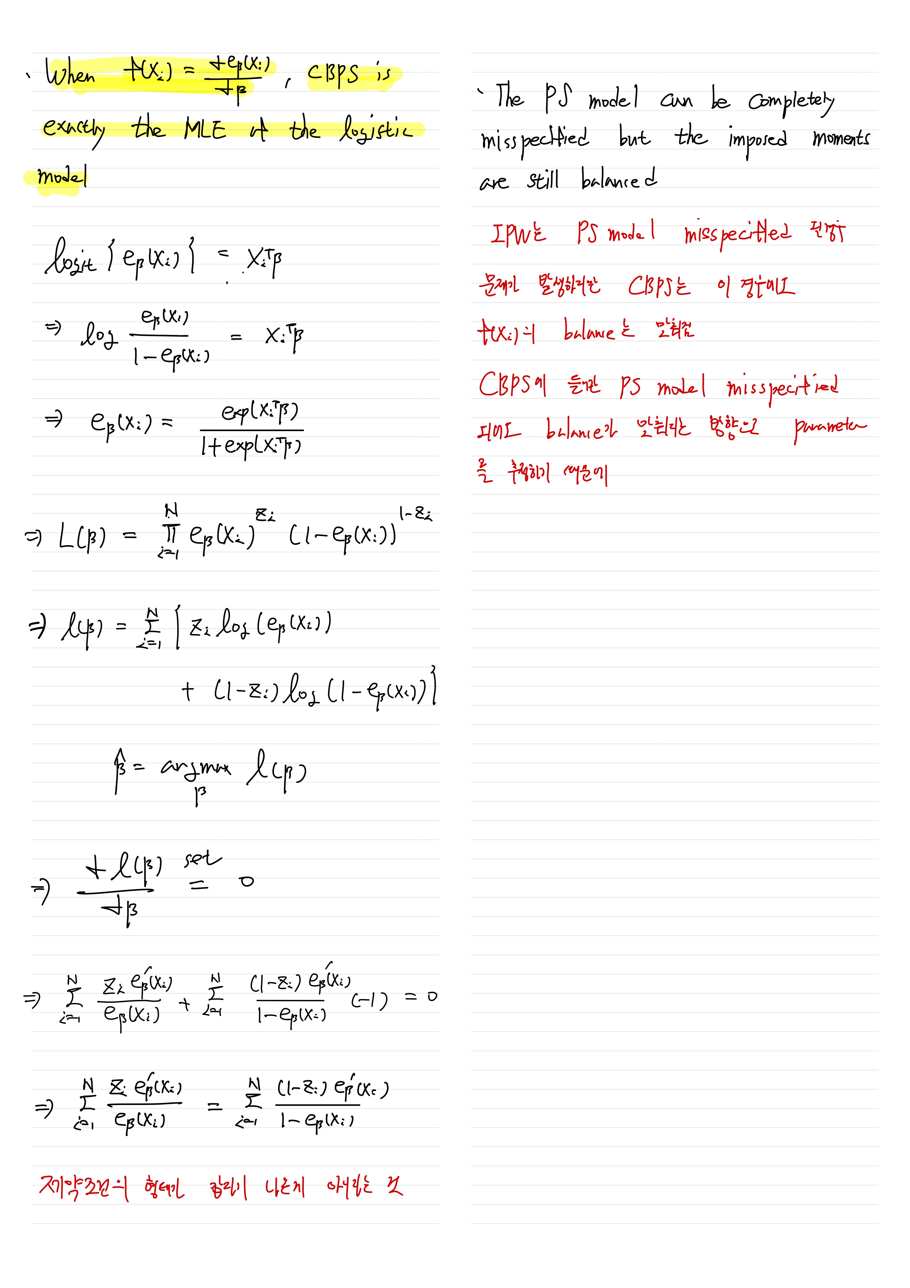
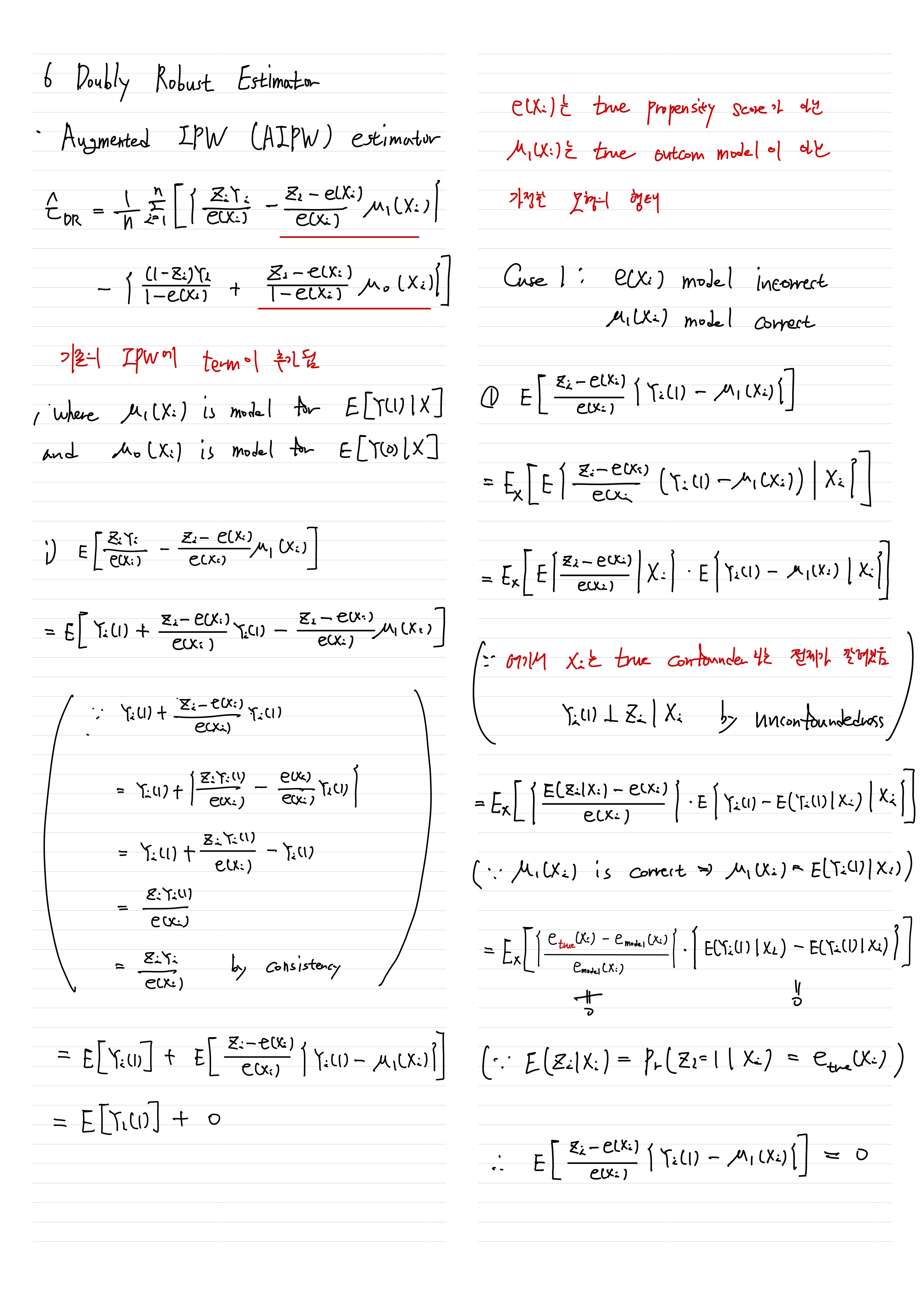
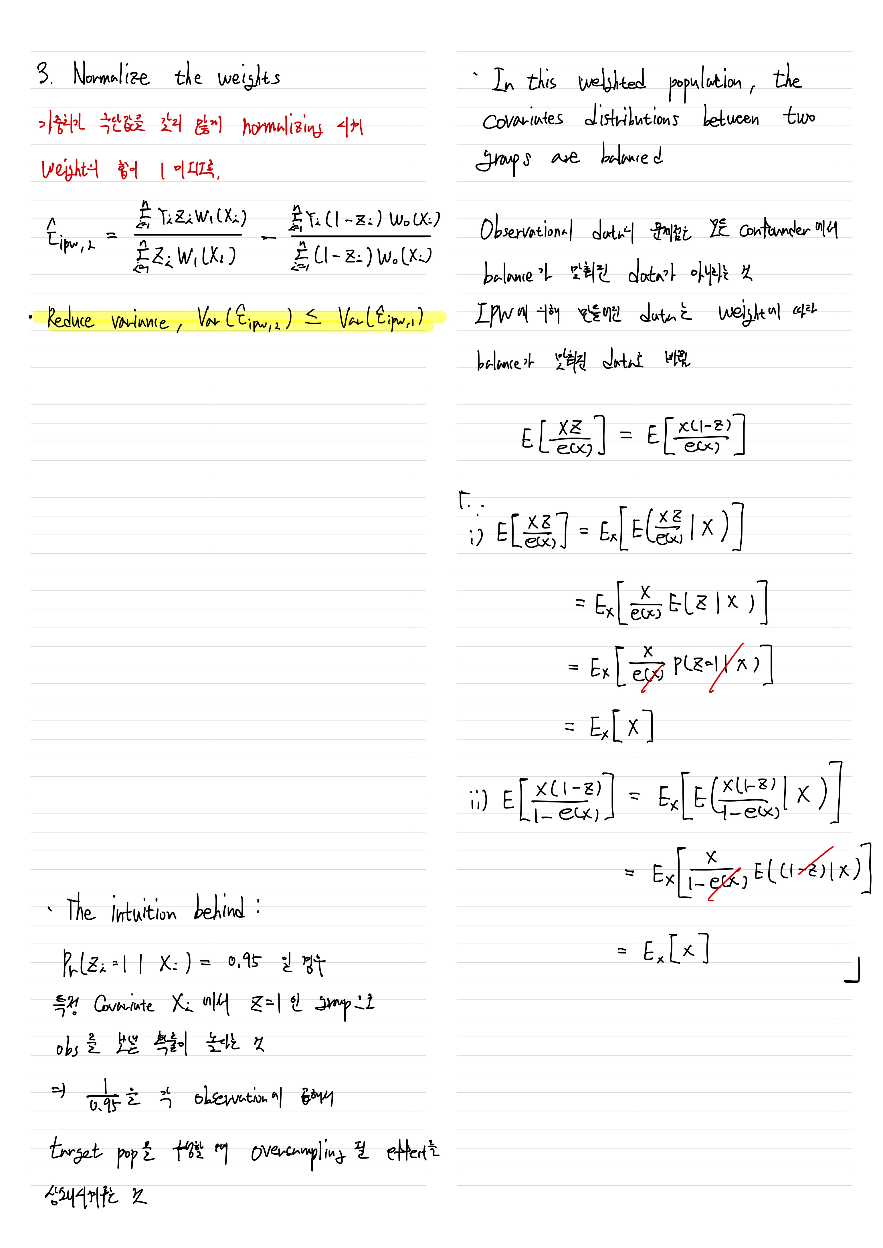
Applied/Causal Inference

Chapter 7 : Observational studies - Propensity Score Weighting

TaeTrix 2024. 5. 9. 19:53