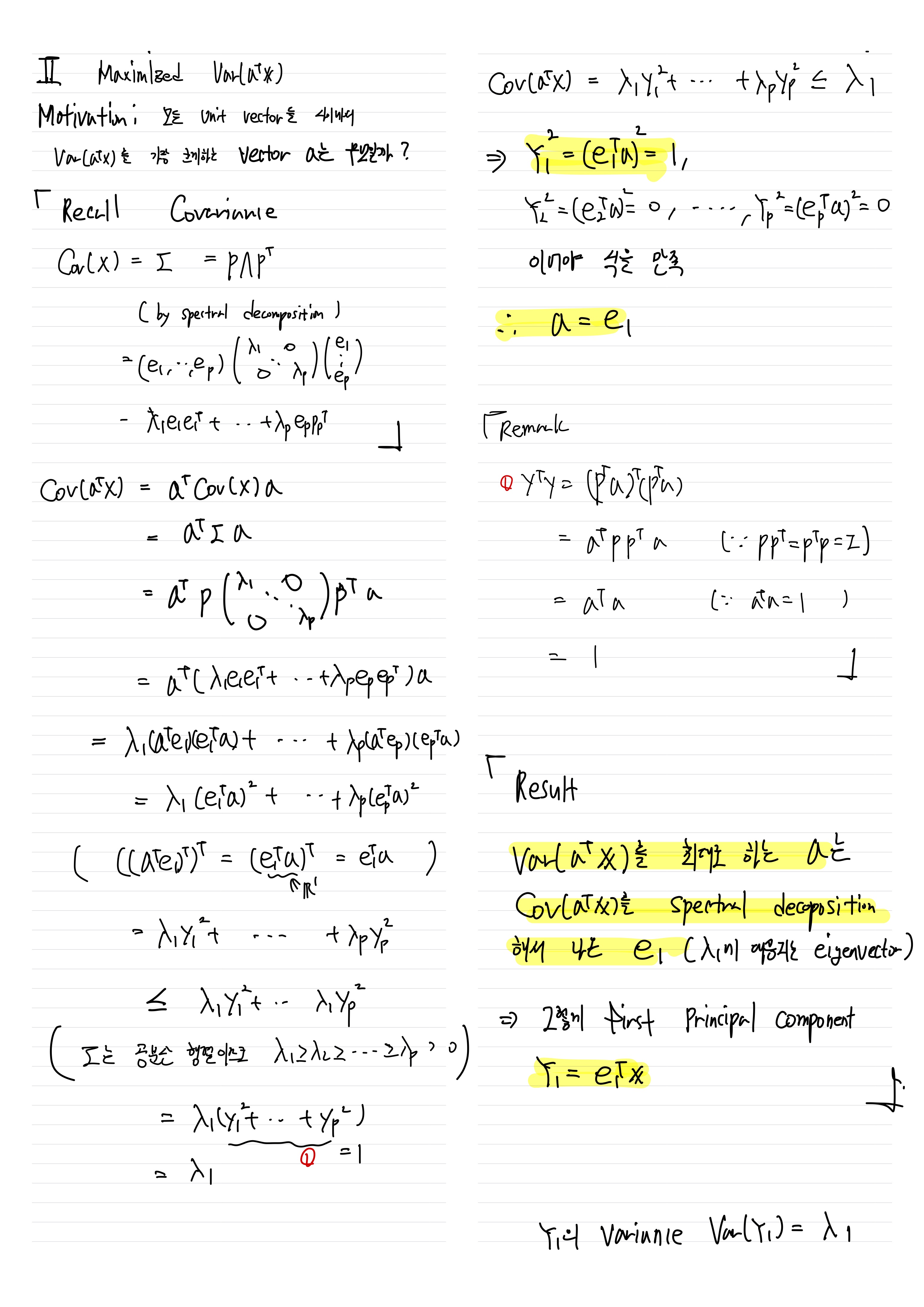
Applied/Multivariate Stat

Chapter 8 : Principal Component Analysis

TaeTrix 2024. 1. 30. 20:55