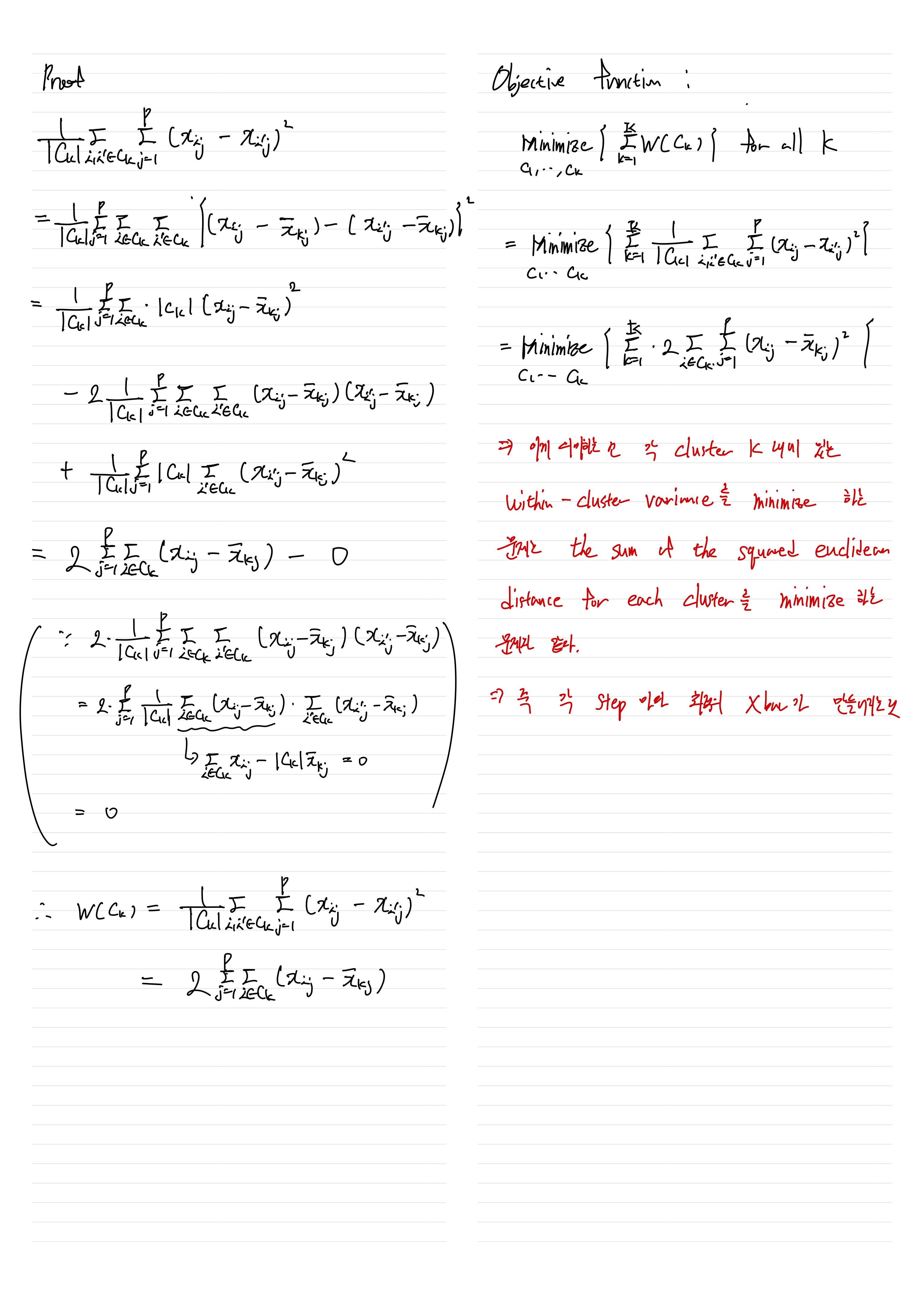
Applied/Statistical Learning

Chapter 11 : Unsupervised Learning - Clustering

TaeTrix 2024. 1. 27. 19:17