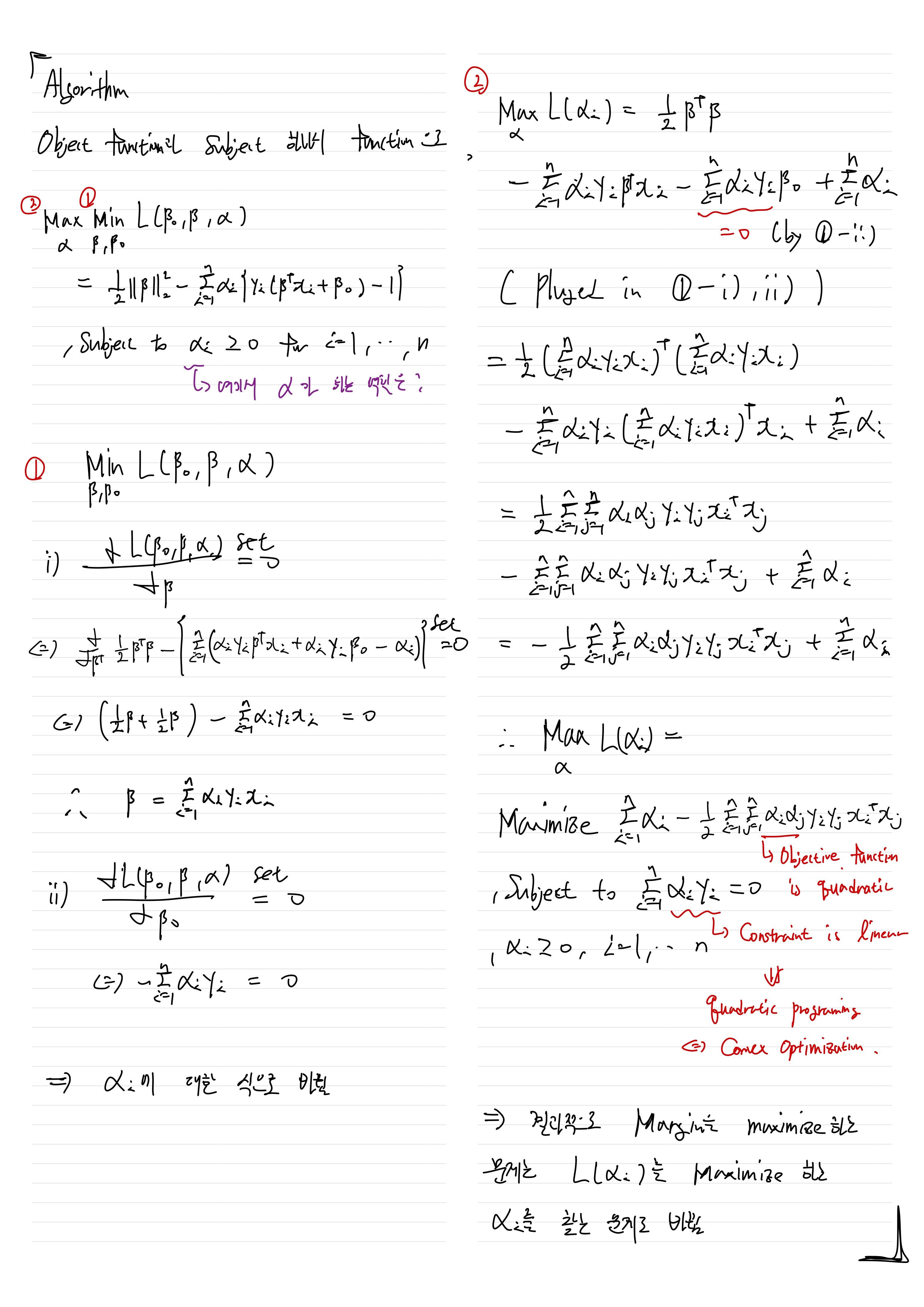
Applied/Statistical Learning

Chapter 7 - 1 : Support Vector Machine

TaeTrix 2024. 1. 8. 22:45