Applied/Categorical Data Analysis

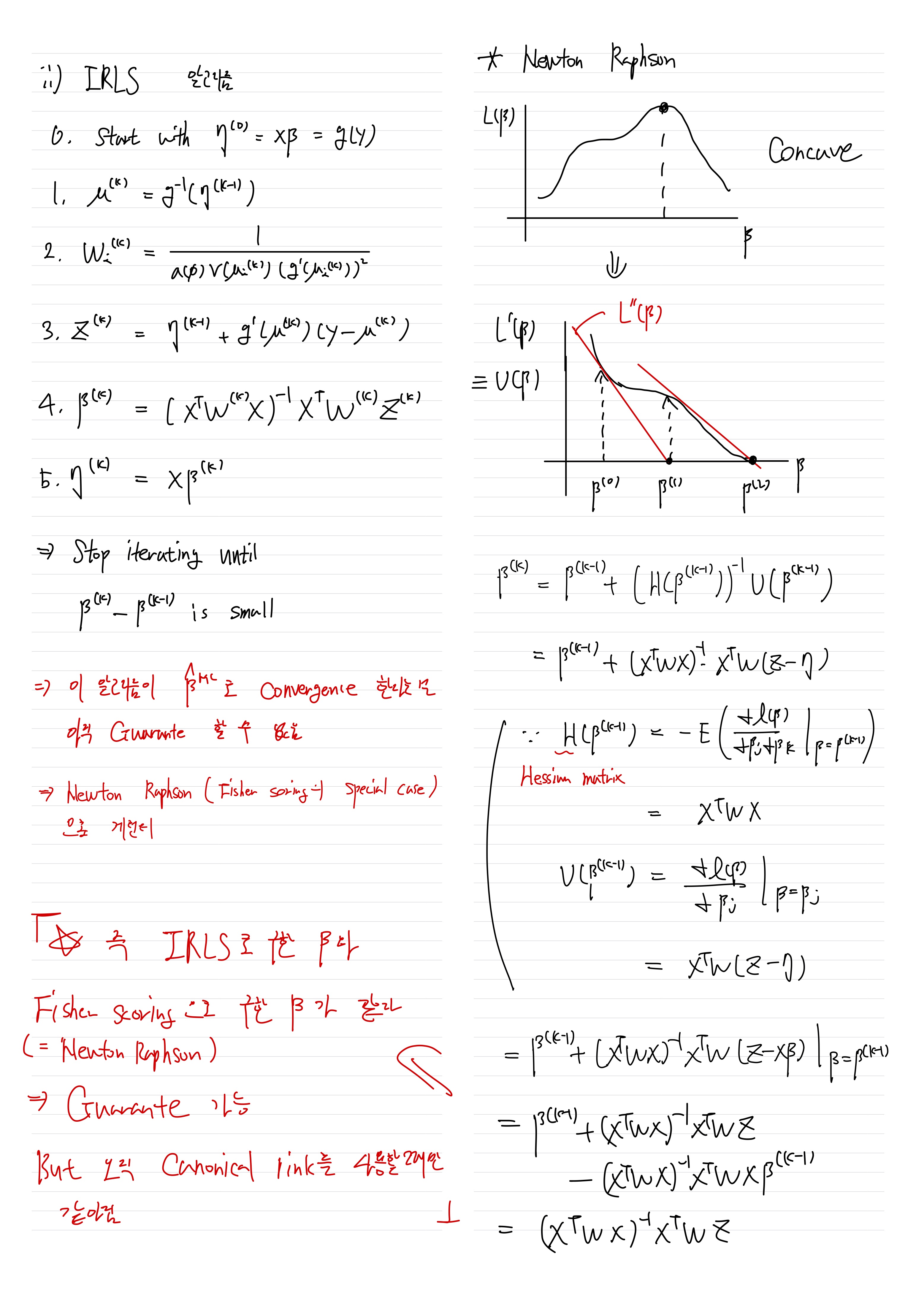
Fitting Generalized Linear Models - IRLS(=IWLS) Algorithm

TaeTrix 2023. 10. 8. 17:17