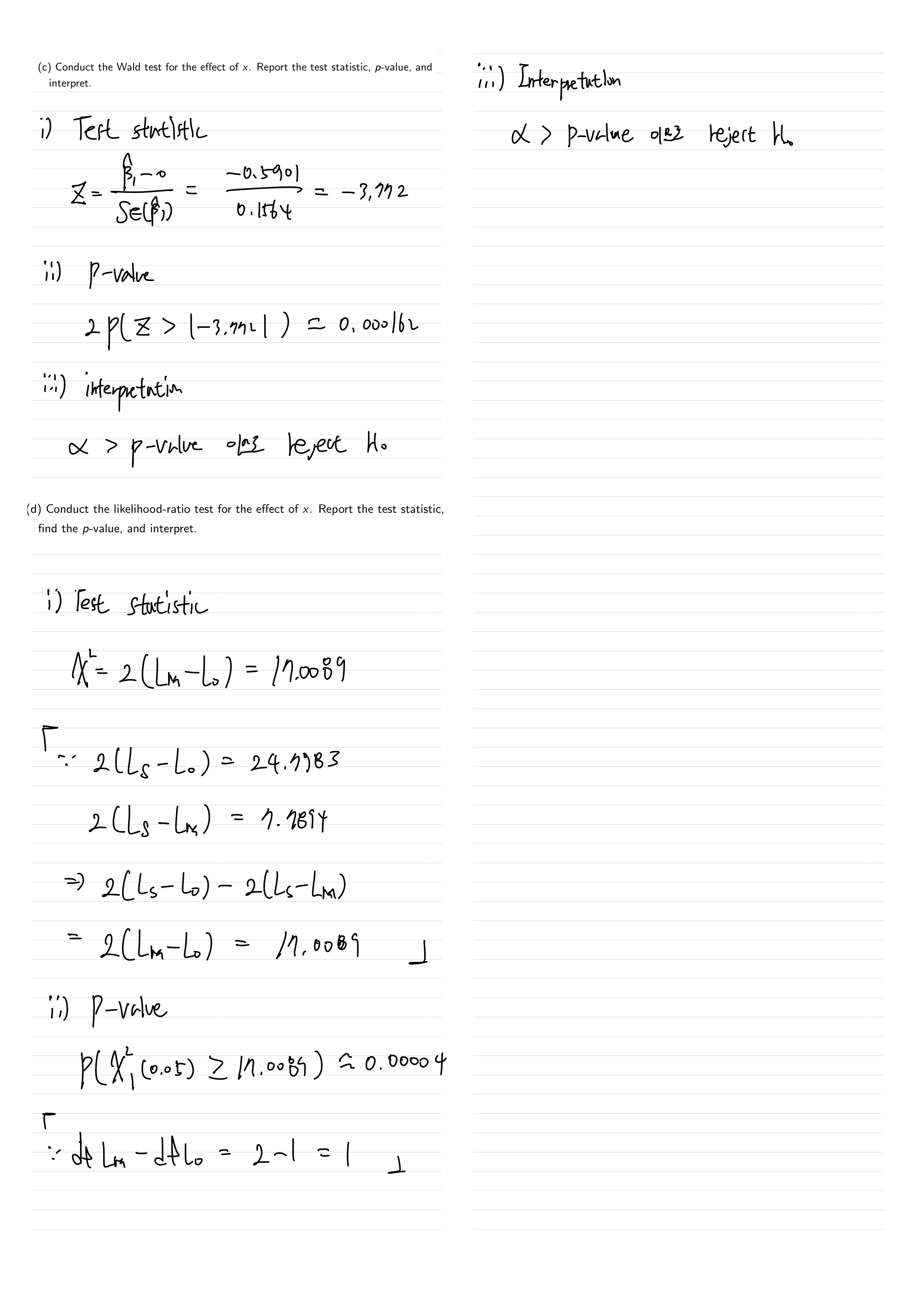
Applied/Categorical Data Analysis

Chapter 3 - 2 GLMs for Binary Data

TaeTrix 2023. 10. 8. 17:14