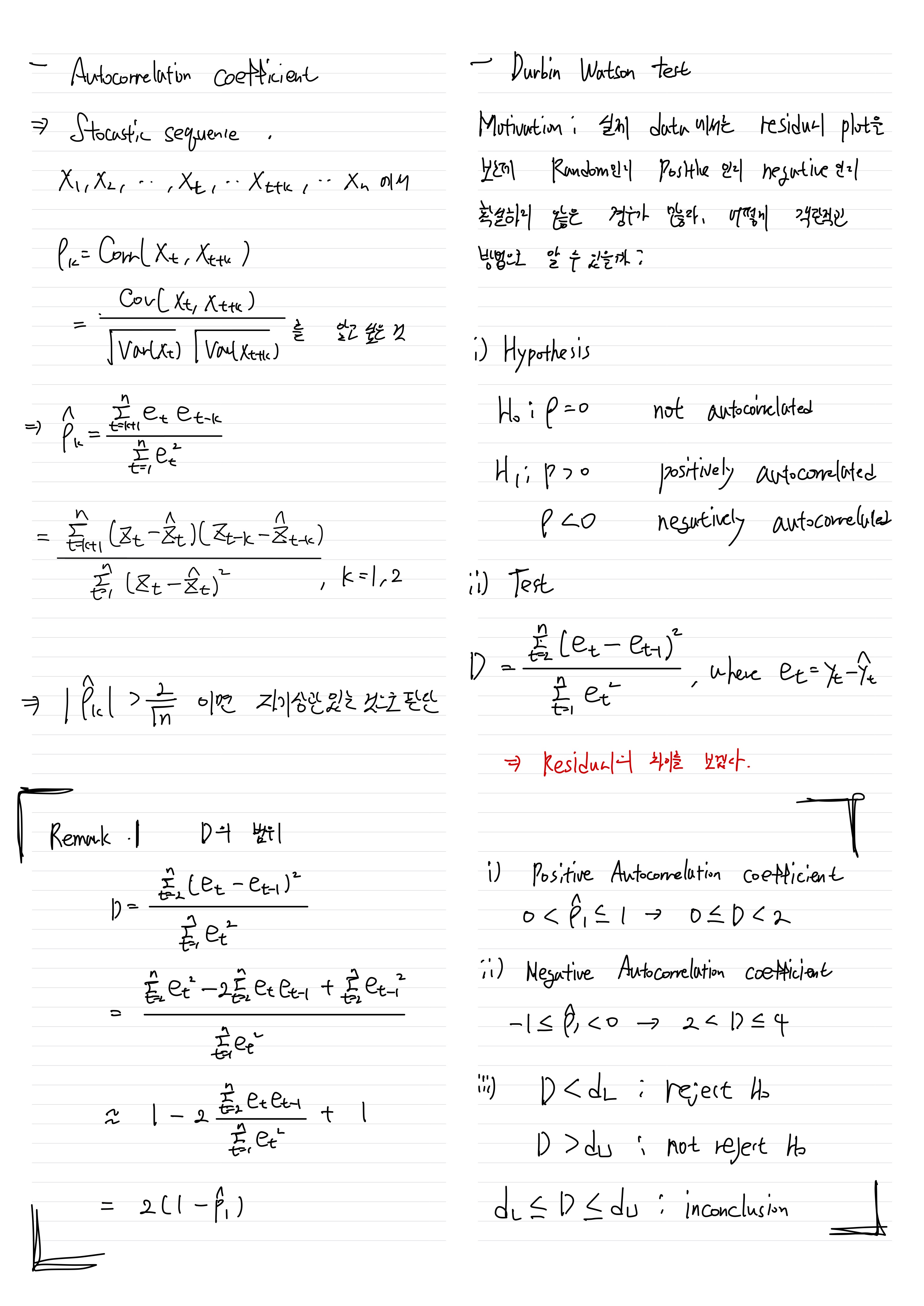
Applied/Time Series Analysis

Chapter 2 - Trend Analysis

TaeTrix 2023. 9. 18. 22:42