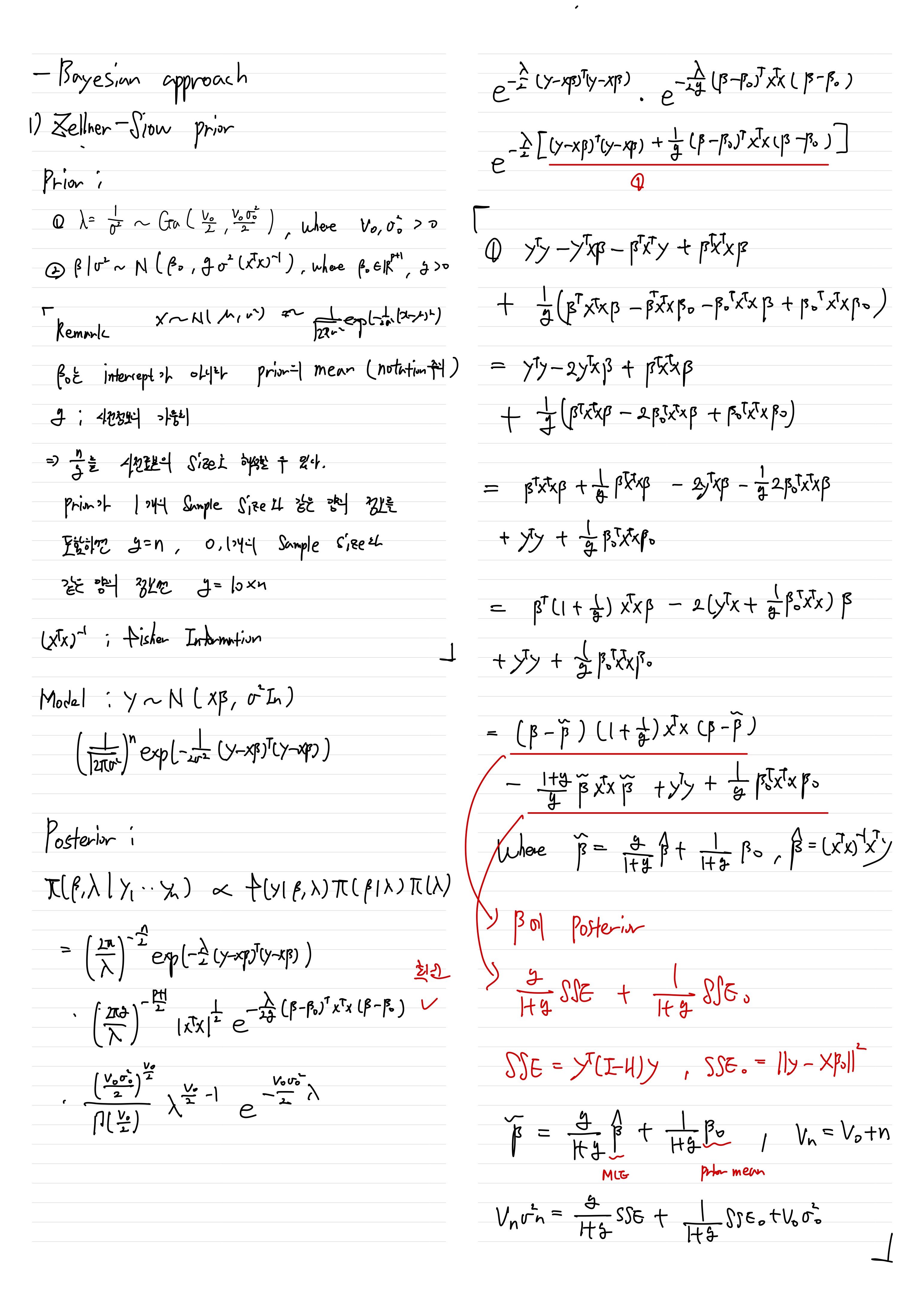
Applied/Bayesian Stat

Chapter 12 : Bayesian Linear Regression

TaeTrix 2023. 6. 6. 02:55