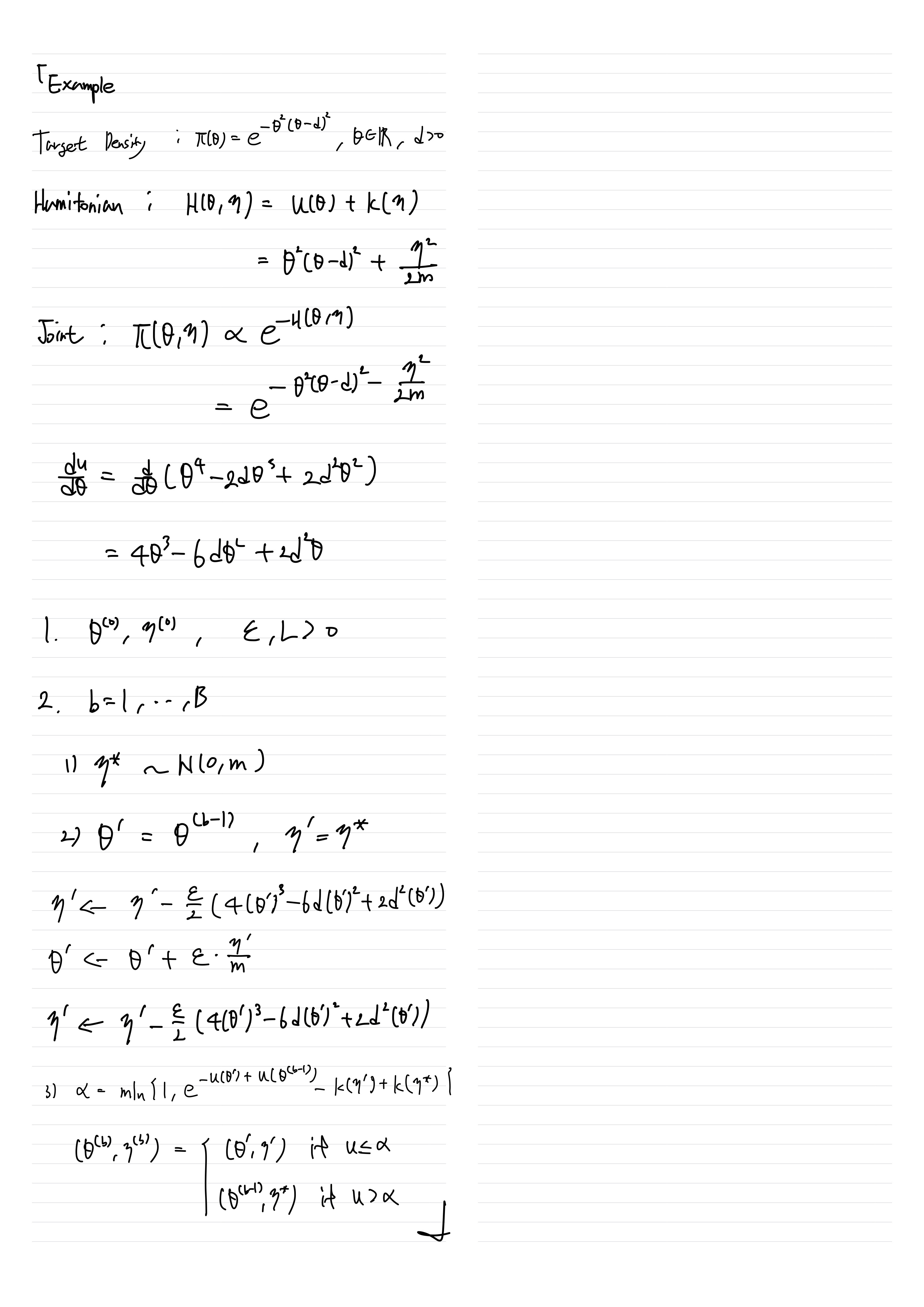
Applied/Bayesian Stat

Chapter 9 - 2 : Markov Chain Monte Carlo

TaeTrix 2023. 6. 5. 20:34