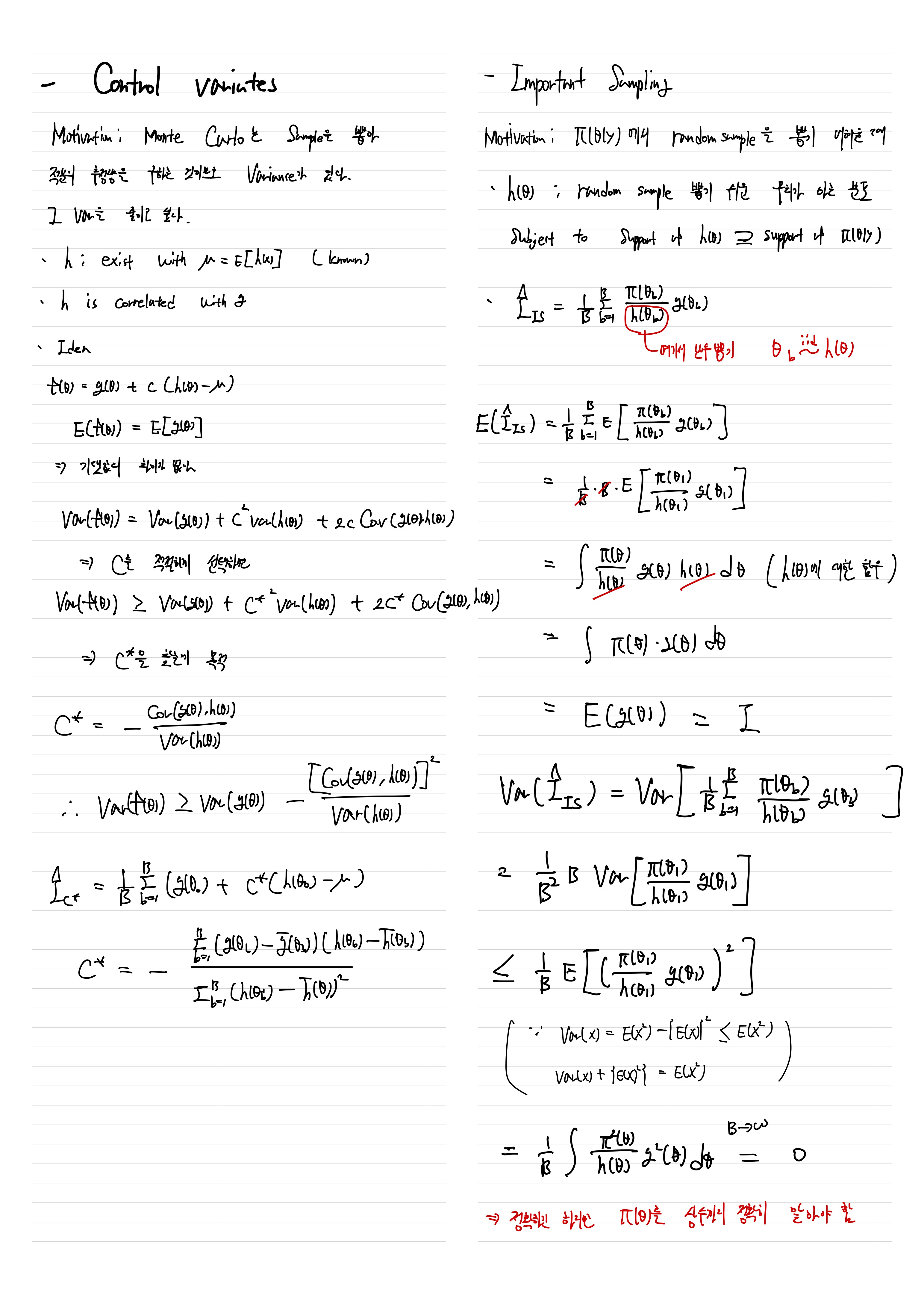
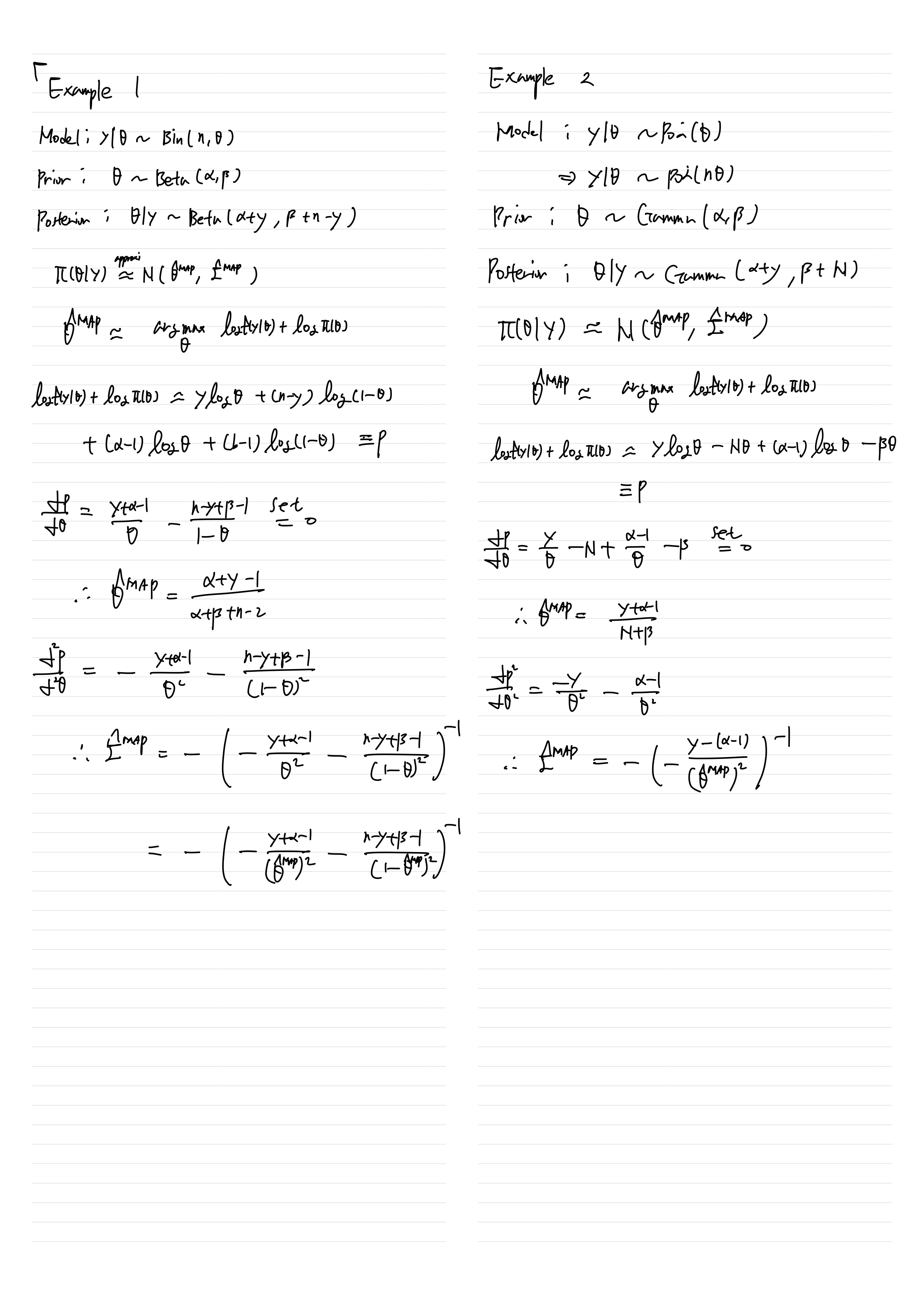
Applied/Bayesian Stat

Chapter 5 - Computational Approach

TaeTrix 2023. 5. 10. 14:25