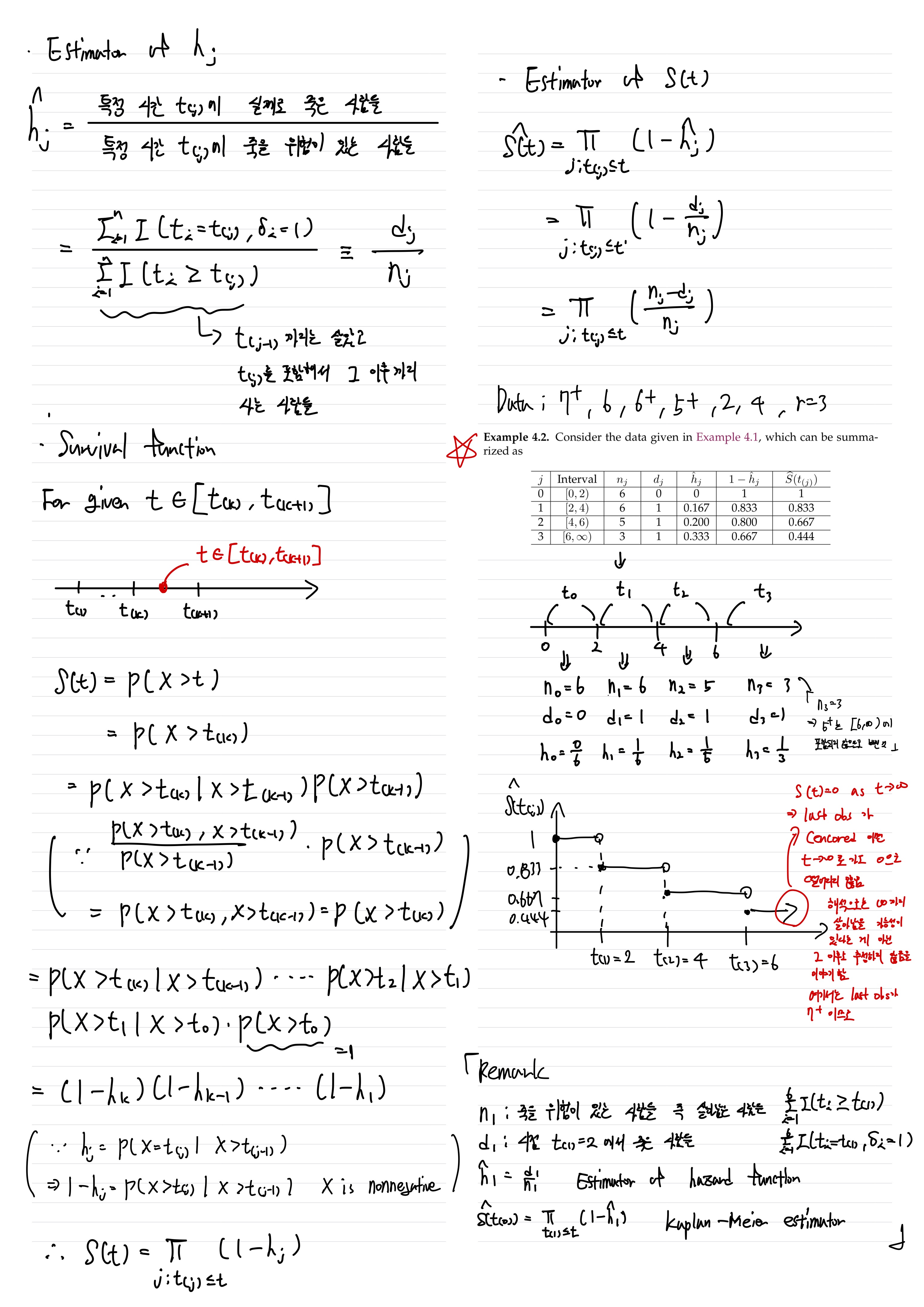
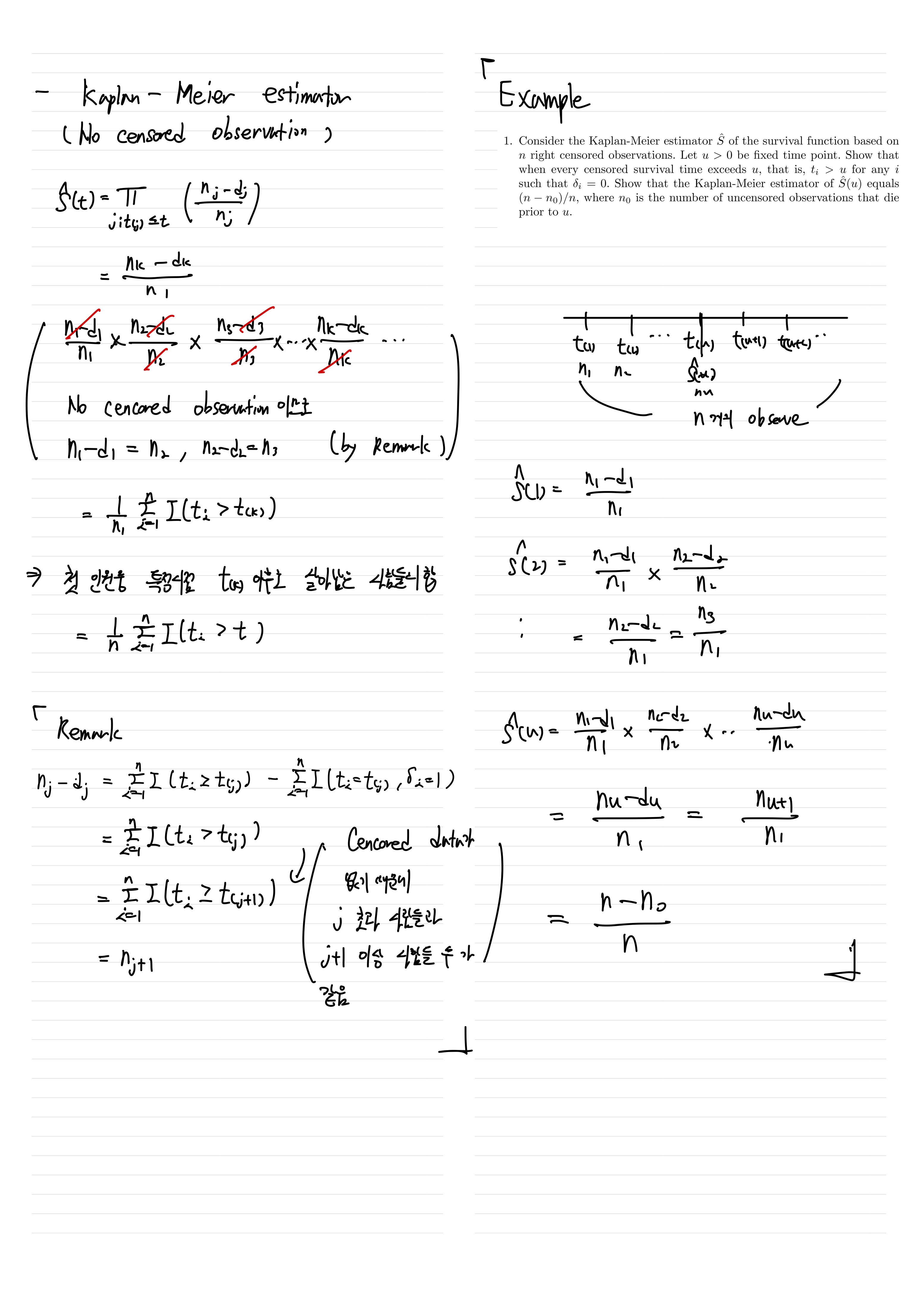
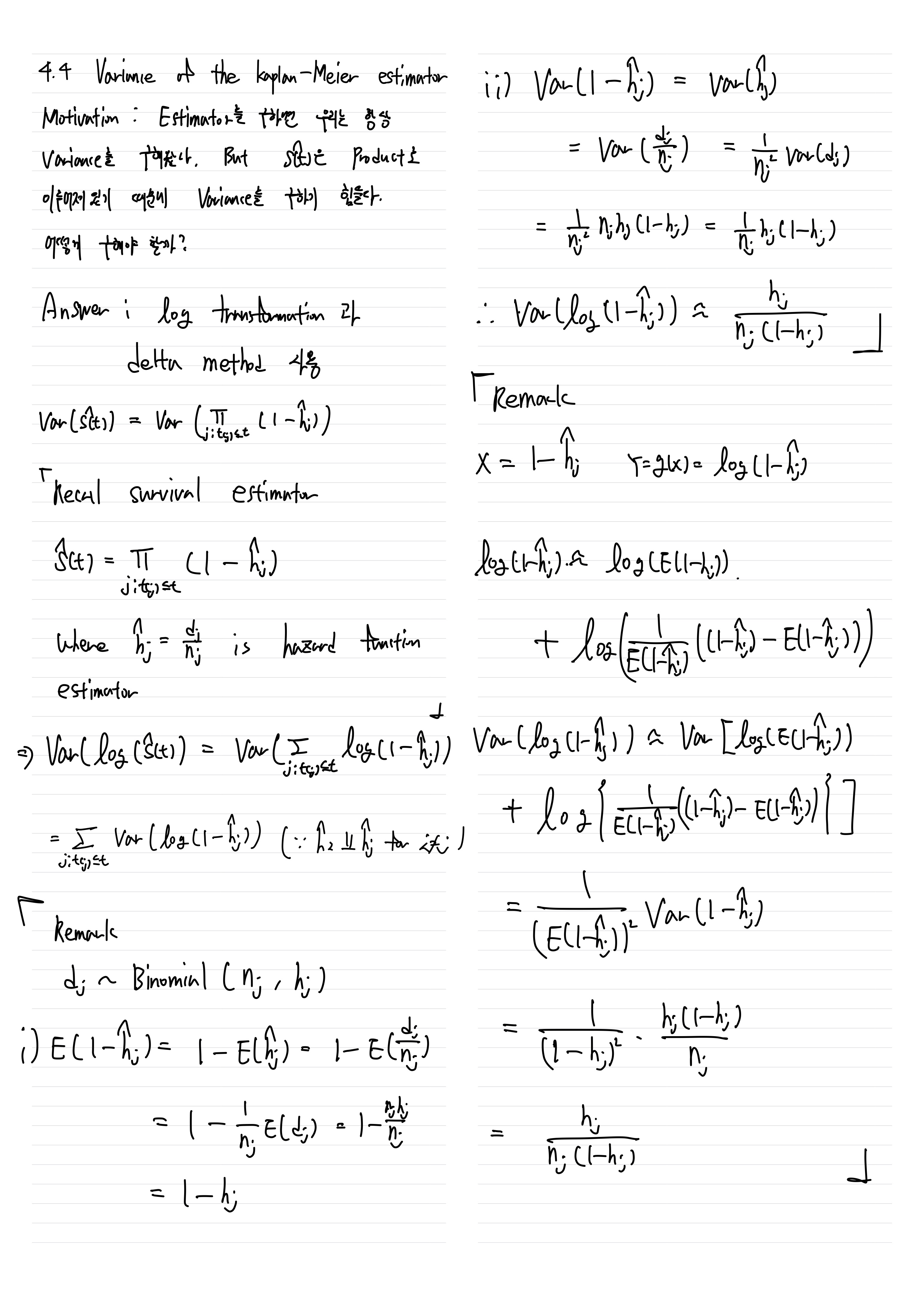
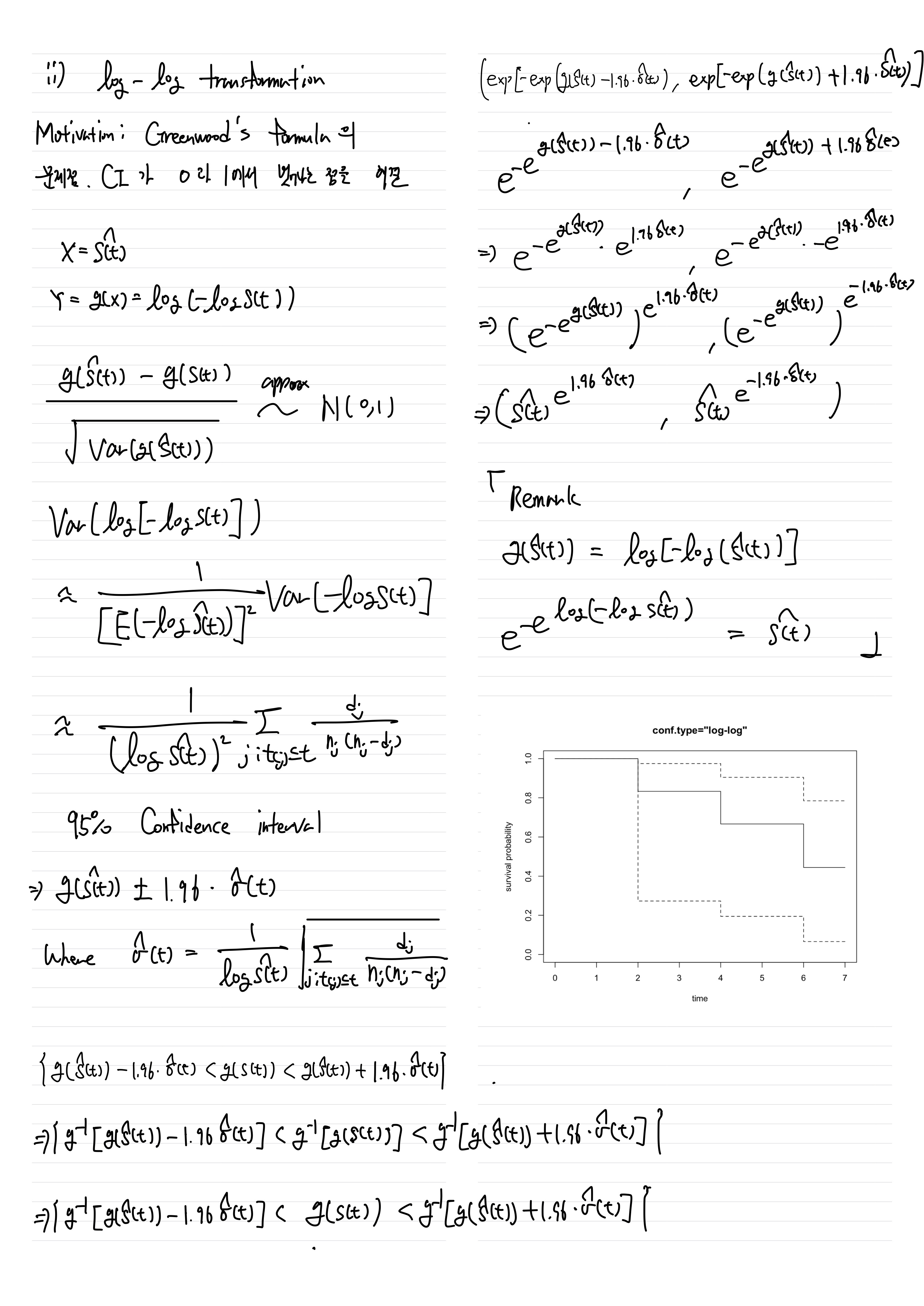
Chapter 4 : Nonparametric estimation of Survival function










https://web.stat.tamu.edu/~sinha/teaching_mat/survival_part1.pdf
https://myweb.uiowa.edu/pbreheny/7210/f15/notes/9-10.pdf
https://rviews.rstudio.com/2017/09/25/survival-analysis-with-r/
Survival Analysis with R
With roots dating back to at least 1662 when John Graunt, a London merchant, published an extensive set of inferences based on mortality records, survival analysis is one of the oldest subfields of Statistics [1]. Basic life-table methods, including techni
rviews.rstudio.com
https://bioconnector.github.io/workshops/r-survival.html
Survival Analysis with R
This class will provide hands-on instruction and exercises covering survival analysis using R. Some of the data to be used here will come from The Cancer Genome Atlas (TCGA), where we may also cover programmatic access to TCGA through Bioconductor if time