Applied/Multivariate Stat

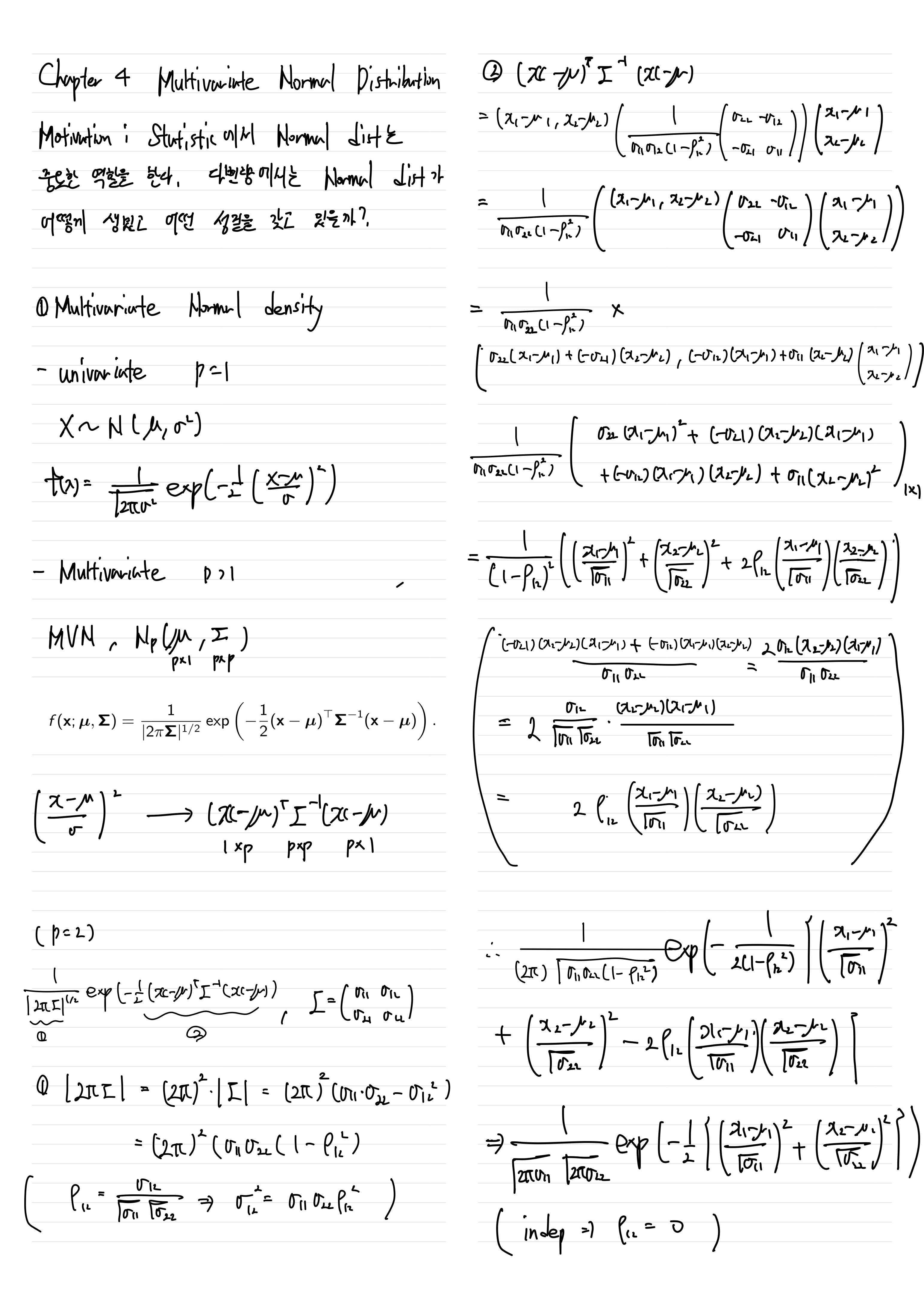
Chapter 4 : Multivariate Normal Distribution

TaeTrix 2023. 3. 31. 22:22